Главная Случайная страница


Полезное:

Как сделать разговор полезным и приятным Как сделать объемную звезду своими руками Как сделать то, что делать не хочется? Как сделать погремушку Как сделать так чтобы женщины сами знакомились с вами Как сделать идею коммерческой Как сделать хорошую растяжку ног? Как сделать наш разум здоровым? Как сделать, чтобы люди обманывали меньше Вопрос 4. Как сделать так, чтобы вас уважали и ценили? Как сделать лучше себе и другим людям Как сделать свидание интересным?


Категории:

АрхитектураАстрономияБиологияГеографияГеологияИнформатикаИскусствоИсторияКулинарияКультураМаркетингМатематикаМедицинаМенеджментОхрана трудаПравоПроизводствоПсихологияРелигияСоциологияСпортТехникаФизикаФилософияХимияЭкологияЭкономикаЭлектроника






Понятие определителя





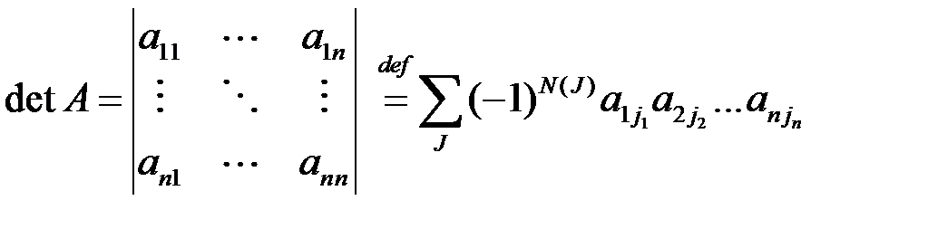
Для каждой квадратной матрицы -го порядка () определено число, обозначаемое или и называемое определителем матрицы (определителем -го порядка).

При матрица состоит из одного элемента,

.

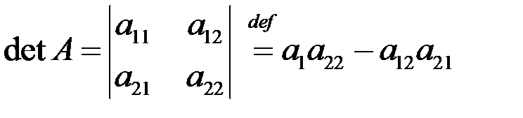
При

. (1.1)

 

При любом сумма всевозможных произведений элементов матрицы , стоящих в разных строках и разных столбцах, со знаком или , определяемым порядком сомножителей:

 

. (1.2)

Здесь:

сомножители , , …, выбраны последовательно из 1-ой, 2-ой, …, -ой строки;

– соответствующая последовательность номеров столбцов;

– число инверсий в последовательности : число и число с большим номером () образуют инверсию, если . При четных величина , при нечетных .

Формула (1.1), конечно, частный случай общей формулы (1.2) (см. пример 1.2.6).

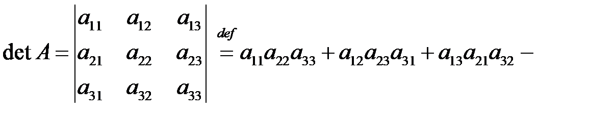
При формула (1.2) принимает вид

 

. (1.3)

 

Из (1.2) следует, что определитель треугольной матрицы равен произведению элементов главной диагонали: .

 







Date: 2015-09-18; view: 515; Нарушение авторских прав



mydocx.ru - 2015-2026 year. (0.951 sec.) Все материалы представленные на сайте исключительно с целью ознакомления читателями и не преследуют коммерческих целей или нарушение авторских прав - Пожаловаться на публикацию