Главная Случайная страница


Полезное:

Как сделать разговор полезным и приятным Как сделать объемную звезду своими руками Как сделать то, что делать не хочется? Как сделать погремушку Как сделать так чтобы женщины сами знакомились с вами Как сделать идею коммерческой Как сделать хорошую растяжку ног? Как сделать наш разум здоровым? Как сделать, чтобы люди обманывали меньше Вопрос 4. Как сделать так, чтобы вас уважали и ценили? Как сделать лучше себе и другим людям Как сделать свидание интересным?


Категории:

АрхитектураАстрономияБиологияГеографияГеологияИнформатикаИскусствоИсторияКулинарияКультураМаркетингМатематикаМедицинаМенеджментОхрана трудаПравоПроизводствоПсихологияРелигияСоциологияСпортТехникаФизикаФилософияХимияЭкологияЭкономикаЭлектроника






Термический КПД цикла





где - термический КПД цикла, %.

Изм.
Лист
№ докум.
Подп.
Дата
Лист
 
ТТ.БМА211.04.00.00.00 ПЗ
7.3 Среднее теоретическое индикаторное давление

Среднее индикаторное давление представляет собой некоторое условное постоянное давление, при воздействии которого на поршень в течение одного хода совершается работа, равная работе за цикл. Этот параметр характеризует напряженность работы двигателя.

где - среднее теоретическое индикаторное давление, МПа

 

 

Для построения цикла карбюраторного двигателя четырёх точек будет недостаточно. Определим дополнительные точки.

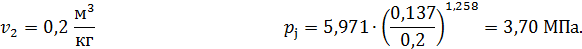
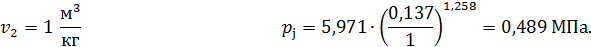
Определим дополнительные точки для участка сжатия:

 

 

Изм.
Лист
№ докум.
Подп.
Дата
Лист
 
ТТ.БМА211.04.00.00.00 ПЗ
Определим дополнительные точки для участка расширения:

После определения дополнительных точек строим цикл карбюраторного двигателя. Цикл карбюраторного двигателя приведён в Приложении А.

 

 

 

Действительная индикаторная диаграмма меньше теоретической, за счет отличия действительных процессов от теоретических. Уменьшение площади индикаторной диаграммы можно учесть с помощью коэффициента полноты диаграммы υ = 0,95, а механические потери относительным механическим КПД ηм = 0,97.

Среднее эффективное давление цикла , МПа:

 

Изм.
Лист
№ докум.
Подп.
Дата
Лист
 
ТТ.БМА211.04.00.00.00 ПЗ
8 ГЕОМЕТРИЧЕСКИЕ ХАРАКТЕРИСТИКИ ДВИГАТЕЛЯ

8.1 Рабочий объём цилиндра

где - рабочий объём цилиндра, л.







Date: 2015-09-18; view: 541; Нарушение авторских прав



mydocx.ru - 2015-2026 year. (1.032 sec.) Все материалы представленные на сайте исключительно с целью ознакомления читателями и не преследуют коммерческих целей или нарушение авторских прав - Пожаловаться на публикацию