Главная Случайная страница


Полезное:

Как сделать разговор полезным и приятным Как сделать объемную звезду своими руками Как сделать то, что делать не хочется? Как сделать погремушку Как сделать так чтобы женщины сами знакомились с вами Как сделать идею коммерческой Как сделать хорошую растяжку ног? Как сделать наш разум здоровым? Как сделать, чтобы люди обманывали меньше Вопрос 4. Как сделать так, чтобы вас уважали и ценили? Как сделать лучше себе и другим людям Как сделать свидание интересным?


Категории:

АрхитектураАстрономияБиологияГеографияГеологияИнформатикаИскусствоИсторияКулинарияКультураМаркетингМатематикаМедицинаМенеджментОхрана трудаПравоПроизводствоПсихологияРелигияСоциологияСпортТехникаФизикаФилософияХимияЭкологияЭкономикаЭлектроника






Уравнение теплового баланса





Теплота в процессе сжатия q 1,2, Дж / кг:

Работа в процессе сжатия l 1,2, Дж / кг:

Теплота в процессе расширения q 3,4, Дж / кг:

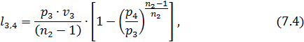
Работа в процессе расширения l 3,4, Дж / кг:

 

Полезная работа l, Дж / кг:

)

Доля отведённой теплоты ql, %:

 

Изм.
Лист
№ докум.
Подп.
Дата
Лист
 
ТТ.БМА211.04.00.00.00 ПЗ
Теплота отведённая с выхлопными газами , Дж / кг:

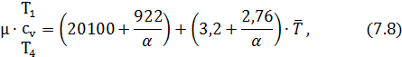
Среднее значение мольной теплоемкости , Дж / (кмоль × К) в интервале температур (Т 1; Т 4); рассчитывается по формуле:

Среднее значение удельной массовой теплоёмкости , Дж / (кг × К):

 

 

Изм.
Лист
№ докум.
Подп.
Дата
Лист
 
ТТ.БМА211.04.00.00.00 ПЗ

Общее количество полученной энергии в цикле , Дж / кг:

 

 

Количество теплоты, выделившееся при сгорании 1 кг свежего заряда
, Дж / кг:

Относительная величина дисбаланса, %:

Дисбаланс не должен превышать 5 %.







Date: 2015-09-18; view: 570; Нарушение авторских прав



mydocx.ru - 2015-2026 year. (1.215 sec.) Все материалы представленные на сайте исключительно с целью ознакомления читателями и не преследуют коммерческих целей или нарушение авторских прав - Пожаловаться на публикацию