Главная Случайная страница


Полезное:

Как сделать разговор полезным и приятным Как сделать объемную звезду своими руками Как сделать то, что делать не хочется? Как сделать погремушку Как сделать так чтобы женщины сами знакомились с вами Как сделать идею коммерческой Как сделать хорошую растяжку ног? Как сделать наш разум здоровым? Как сделать, чтобы люди обманывали меньше Вопрос 4. Как сделать так, чтобы вас уважали и ценили? Как сделать лучше себе и другим людям Как сделать свидание интересным?


Категории:

АрхитектураАстрономияБиологияГеографияГеологияИнформатикаИскусствоИсторияКулинарияКультураМаркетингМатематикаМедицинаМенеджментОхрана трудаПравоПроизводствоПсихологияРелигияСоциологияСпортТехникаФизикаФилософияХимияЭкологияЭкономикаЭлектроника






Типовые задания для самопроверки





1. Оператор , заданный на пространстве функций, квадратично интегрируемых по модулю на отрезке [ 0,1 ], задан соотношением

.

Найдите оператор +.

2. Оператор , заданный на пространстве функций, квадратично интегрируемых по модулю на отрезке [ 0,1 ], задан соотношением

.

Найдите собственные значения этого оператора и его нормированные собственные функции.

 

3. Какова вероятность обнаружить квантовую систему, описывающуюся ненормированной волновой функцией , в состоянии с также ненормированной волновой функцией .

 

4. В гильбертовом пространстве вещественных функций, квадратично интегрируемых на отрезке [0,1], постройте первые три элемента ортонормированного базиса, находя излинейно независимых элементов .

5. Пусть - линейный оператор в гильбертовом пространстве , причем обратный оператор -1 существует. Докажите, что операторы и -1 имеют одинаковые собственные значения.

6. Найдите собственные значения и собственные функции оператора ортогонального проектирования , ()

7. Пусть и ортогональные проекторы, причем = . При каких

оператор + + также является ортогональным проектором?

8. Оператор - унитарный. В каком случае оператор ( - некоторое число) также является унитарным?

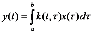
9. Оператор : , где функции x(t) и y(t) являются квадратично интегрируемыми по модулю на отрезке [ a,b ], определен соотношением

.

Как выглядит оператор +? В каких случаях оператор - эрмитов?

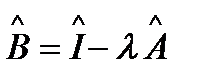
10. Эрмитов оператор удовлетворяет соотношению 2= с ,

где с - вещественный параметр. Каковы собственные значения такого

оператора?

11. Пусть - Эрмитов оператор, - произвольное комплексное число с

Im 0. Докажите существование оператора, обратного к оператору

.

12. Квантовая система может находиться в двух состояниях 0 и 1, которые

ортогональны друг другу и нормированы на 1. Оператор задан соотношением

0= 5 0 +12i 1

1= -12i 0 - 5 1

Чему равны собственные функции и собственные значения этого оператора?

 

 

12.3. Краткий терминологический словарь

 

Линейные (векторные) пространства, базисы в линейных пространствах,

нормированные пространства, норма элемента линейного пространства, скалярное произведение, гильбертовы пространства, пространство L2, базисы в гильбертовых пространствах, разложение Фурье, коэффициенты Фурье, равенство Парсеваля, полиномы Эрмита, Лежандра, Лягерра, л инейные функционалы в гильбертовых пространствах, теорема Рисса-Фреше, обобщенные функции, пространство основных функций, сингулярные и регулярные обобщенные функции, функция Дирака, линейные операторы в гильбертовых пространствах, непрерывные и ограниченные операторы, норма оператора, сопряженные операторы, эрмитовы и самосопряженные операторы, унитарные и проекционные операторы, функции от операторов, унитарная экспонента,самосопряженный лапласиан в Rn, собственные значения и собственные функции эрмитова (самосопряженного) оператора, обобщенные собственные значения и обобщенные собственные функции, спектр оператора, резольвента, операторы Шредингера.

 







Date: 2015-09-18; view: 441; Нарушение авторских прав



mydocx.ru - 2015-2026 year. (2.204 sec.) Все материалы представленные на сайте исключительно с целью ознакомления читателями и не преследуют коммерческих целей или нарушение авторских прав - Пожаловаться на публикацию