Главная Случайная страница


Полезное:

Как сделать разговор полезным и приятным Как сделать объемную звезду своими руками Как сделать то, что делать не хочется? Как сделать погремушку Как сделать так чтобы женщины сами знакомились с вами Как сделать идею коммерческой Как сделать хорошую растяжку ног? Как сделать наш разум здоровым? Как сделать, чтобы люди обманывали меньше Вопрос 4. Как сделать так, чтобы вас уважали и ценили? Как сделать лучше себе и другим людям Как сделать свидание интересным?


Категории:

АрхитектураАстрономияБиологияГеографияГеологияИнформатикаИскусствоИсторияКулинарияКультураМаркетингМатематикаМедицинаМенеджментОхрана трудаПравоПроизводствоПсихологияРелигияСоциологияСпортТехникаФизикаФилософияХимияЭкологияЭкономикаЭлектроника






Контрольная работа по курсу. «Введение в математический аппарат квантовой механики»





«Введение в математический аппарат квантовой механики»

Линейные, нормированные и гильбертовы пространства. Базисы в гильбертовых пространствах.

 

Вариант 1.

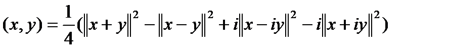
1. В пространстве со скалярным произведением докажите поляризационное тождество

,

где i – мнимая единица.

 

2. В комплексном гильбертовом пространстве функций, модуль которых квадратично интегрируем на отрезке [0,1], найти норму разности элементов х1(t) =(1+i)t и х2(t) = t2, где i – мнимая единица.

 

3. В гильбертовом пространстве вещественных квадратично интегрируемых на отрезке [-1;1] функций найдите норму разности элементов и x2(t)= , нормы этих элементов и их скалярное произведение.

 

Контрольная работа по курсу

«Введение в математический аппарат квантовой механики»

Линейные, нормированные и гильбертовы пространства. Базисы в гильбертовых пространствах.

Вариант 2.

1. В комплексном гильбертовом пространстве функций, модуль которых квадратично интегрируем на отрезке [0,1 ], найти норму разности элементов х1(t) =(1+i)t и х2(t) = it2, где i – мнимая единица.

 

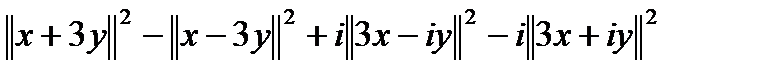
2.В пространстве со скалярным произведением выразите через скалярное произведение (y,x) – следующее выражение

,

где i – мнимая единица.

 

 

3. В гильбертовом пространстве вещественных квадратично интегрируемых на отрезке [-1;1] функций найти норму разности элементов x1(t)=t и x2(t)= ,нормы этих элементов и их скалярное произведение.

 

6.2.3. Контрольная работа №2

 

а) типовые задания (вопросы) - образец:

 







Date: 2015-09-18; view: 436; Нарушение авторских прав



mydocx.ru - 2015-2026 year. (1.008 sec.) Все материалы представленные на сайте исключительно с целью ознакомления читателями и не преследуют коммерческих целей или нарушение авторских прав - Пожаловаться на публикацию