Главная Случайная страница


Полезное:

Как сделать разговор полезным и приятным Как сделать объемную звезду своими руками Как сделать то, что делать не хочется? Как сделать погремушку Как сделать так чтобы женщины сами знакомились с вами Как сделать идею коммерческой Как сделать хорошую растяжку ног? Как сделать наш разум здоровым? Как сделать, чтобы люди обманывали меньше Вопрос 4. Как сделать так, чтобы вас уважали и ценили? Как сделать лучше себе и другим людям Как сделать свидание интересным?


Категории:

АрхитектураАстрономияБиологияГеографияГеологияИнформатикаИскусствоИсторияКулинарияКультураМаркетингМатематикаМедицинаМенеджментОхрана трудаПравоПроизводствоПсихологияРелигияСоциологияСпортТехникаФизикаФилософияХимияЭкологияЭкономикаЭлектроника






Контрольная работа по курсу





«Введение в математический аппарат квантовой механики».

Тема: Линейные операторы. Спектр операторов.

Вариант 2

 

1. Пусть и - коммутирующие ортогональные проекторы. При каких и оператор также является ортогональным проектором?

2. Эрмитов оператор в некотором гильбертовом пространстве удовлетворяет уравнению 3+ 2=6 . Найдите собственные значения этого оператора.

 

3. Оператор задан в вещественном гильбертовом пространстве функций, квадратично интегрируемых на полупрямой

К(х,у)=

Найдите его собственные значения и нормированные собственные функции

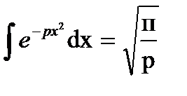
Указание: воспользуйтесь формулой

 

 

б) критерии оценивания компетенций (результатов):

Оценка «отлично» - задания контрольной работы выполнены более чем на 80%, продемонстрировано уверенное знание теоретических положений, допустимо наличие в решениях несущественных неточностей. Оценка «хорошо» - задания контрольной работы выполнены более чем на 2/3, при этом продемонстрированы прочные знания учебного материала, однако, решения содержат определенные (несущественные) неточности. Оценка «удовлетворительно» - задания контрольной работы выполнены более чем на 50%, знание учебного материала-посредственное. Оценка «неудовлетворительно» - решено менее 50% заданий, в решении задач имеются существенные ошибки, продемонстрировано незнание значительной части учебного материала.

в) описание шкалы оценивания:

Оценка «отлично»- 26-30 баллов

Оценка «хорошо»- 21-25 баллов

Оценка «удовлетворительно»-15-20 баллов

Оценка «неудовлетворительно»-меньше 15 баллов

 

6.3. Методические материалы, определяющие процедуры оценивания знаний, умений, навыков и (или) опыта деятельности, характеризующих этапы формирования компетенций

Рейтинговая оценка знаний является интегральным показателем качества теоретических и практических знаний и навыков студентов по дисциплине и складывается из оценок, полученных в ходе текущего контроля и промежуточной аттестации.

Текущий контроль в семестре проводится с целью обеспечения своевременной обратной связи, для коррекции обучения, активизации самостоятельной работы студентов.

Промежуточная аттестация предназначена для объективного подтверждения и оценивания достигнутых результатов обучения после завершения изучения дисциплины.

Текущий контроль осуществляется два раза в семестр: контрольная точка № 1 (КТ № 1) и контрольная точка № 2 (КТ № 2).

Результаты текущего контроля и промежуточной аттестации подводятся по шкале балльно-рейтинговой системы.

Вид контроля Этап рейтинговой системы Оценочное средство Балл
Минимум Максимум
Текущий Контрольная точка № 1    
Оценочное средство №1.1 Контрольная работа    
Контрольная точка № 2    
Оценочное средство № 2.1 Контрольная работа    
Промежуточный Зачет    
  Оценочное средство Вопросы к зачету    
ИТОГО по дисциплине    

 

 

7. Перечень основной и дополнительной учебной литературы, необходимой для освоения дисциплины

 

а) основная учебная литература:

1.Мултановский В.В., Василевский А.С. Квантовая механика.-М., Дрофа.2007.-400 с. (ЧЗ(2), ХР (48)).

2.Флюгге З. Задачи по квантовой механике. Изд-во ЛКИ, 2010.-344с. (Ч(3), ХР(8)).

3. Матвеев А.Н. Атомная физика.-М., ОНИКС.2007.-432 с. (ЧЗ(2), ХР(3)).

 

б) дополнительная учебная литература:

1. Рихтмайер Р. Принципы современной математической физики.-М., Изд.-во «Мир».-1982.-486с.

2.Вулих Б.З. Введение в функциональный анализ.-М.,Изд-во «Наука».-1967.-413с.

3.Колмогоров А.Н., Фомин С.В. Элементы теории функций и функционального анализа.-М.,Изд-во «Наука».-1989.-623с.

4. Балашов В.В., Долинов В.К. Курс квантовой механики.-Ижевск, Изд-во РХД, 2001г.-122с.(ЧЗ(2) ХР(21)).

5. А. Мессиа. Квантовая механика. Т. 1,2.- М., Наука, 1979 – ЧЗ(2), ХР(4).

6.Садбери А. Квантовая механика и физика элементарных частиц.-М., Мир.-1989г.-481 с.(ХР(3)).

7.Елютин П.В., Кривченков В.Д. Квантовая механика.-М., Наука.-1976.-332 с.

 

8. Перечень ресурсов информационно-телекоммуникационной сети «Интернет» (далее - сеть «Интернет»), необходимых для освоения дисциплины

 

1.http://www.iqlib.ru/ Электронная библиотека IQLb образовательных и просветительских изданий. Свободный доступ к электронным учебникам, справочным и учебным пособиям.


2.http://www/edu/ru/modules/php?op=modload&name=Web_.Links&file=index&l_op=viewlk&cid=2720 – Федеральный портал российского профессионального образования: Математика и естественно-научное образование.

 

9. Методические указания для обучающихся по освоению дисциплины

 

Дисциплина «Введение в математический аппарат квантовой механики» состоит из двух основных частей:

1.Элементы теории гильбертовых пространств.

2.Элементы теории линейных операторов в гильбертовых пространствах.

Теория гильбертовых пространств, изложению которой предшествует изложение аппарата линейных (векторных) пространств, имеет непосредственное отношение к постулату состояний квантовой системы. При изучении этого раздела особое внимание рекомендуется обратить на разложение произвольного элемента гильбертова пространства (вектора состояния квантовой системы) по ортонормированному базису (разложение Фурье) и интерпретацию коэффициентов Фурье как амплитуд вероятности (в случае, когда вектор состояния нормирован на единицу). Последнее свойство коэффициентов Фурье используется в проекционном постулате квантовой механики (постулате Дирака-Швингера), описывающем процедуру (однократного) измерения некоторой наблюдаемой. Кроме этого, рекомендуется обратить внимание на классические ортогональные полиномы, используемые в квантовой механике: полиномы Эрмита (используются в задаче о квантовании линейного гармонического осциллятора), полиномы Лежандра (используются в теории углового момента) и полиномы Лягерра (используются в квантовомеханической задаче Кеплера).

Элементы теории линейных операторов в гильбертовых пространствах используются при формулировании постулата наблюдаемых. При изучении этого раздела особое внимание рекомендуется обратить на понятие эрмитова (самосопряженного) оператора и теорему Рисса-Фреше, с помощью которой устанавливается существование оператора, эрмитово сопряженного к ограниченному линейному оператору. Кроме того, в задаче о квантовании уровней квантовой системы важную роль играет понятие спектра оператора и связанных с ним понятий собственных значений и собственных функций и обобщенных собственных значений и собственных функций эрмитова оператора, на которые также рекомендуется обратить особое внимание.

 

10. Перечень информационных технологий, используемых при осуществлении образовательного процесса по дисциплине, включая перечень программного обеспечения и информационных справочных систем (при необходимости)

 

10.1 Перечень информационно-справочных систем

Google академия. https://scholar.google.ru (раздел: Физика)

Единое окно доступа к информационным ресурсам. window.edu.ru

 

11. Описание материально-технической базы, необходимой для осуществления образовательного процесса по дисциплине

При осуществлении образовательного процесса по данной дисциплине используется аудитория С-322, оснащенная мультимедийным оборудованием, оборудованная 10 компьютерами.

 

12. Иные сведения и (или) материалы

 

12.1. Перечень образовательных технологий, используемых при осуществлении образовательного процесса по дисциплине

Для достижения планируемых результатов при изучении дисциплины используются следующие образовательные технологии:


1.Информационно-развивающие технологии:

-использование Интернет-ресурсов и ресурсов электронных библиотек.

2. Развивающие проблемно-ориентированные технологии:

- проблемные лекции и семинары;

- «работа в команде» - совместная деятельность под руководством лидера, направленная на решение общей поставленной задачи;

- «междисциплинарное обучение» - использование знаний из разных областей, группируемых и концентрируемых в контексте конкретно решаемой задачи.

3. Личностно -ориентированные технологии обучения:

- консультации;

- «индивидуальное обучение» - выстраивание для студента собственной образовательной траектории с учетом интереса и предпочтения студента.

 

№ пп Наименование темы дисциплины Вид занятий (лекция, семинары, практические занятия) Количество ак. ч. Наименование активных и интерактивных форм проведения занятий
  Базисы в гильбер-товом простран-стве. Разложение Фурье. Лекция   Проблемная лекция
  Линейные опера-торы в гильбер-товых простран-ствах. Лекция   Проблемная лекция
  Собственные зна-чения и собст-венные функции операторов.Спектр эрмитова (само-сопряженного) оператора Практические занятия   Групповое обсуждение
  Введение в аппа-рат обобщенных функций Лекция   Проблемная лекция
  Введение в аппа-рат обобщенных функций Практические занятия   Групповое обсуждение

 

 

12.2. Формы организации самостоятельной работы обучающихся (темы, выносимые для самостоятельного изучения; вопросы для самоконтроля; типовые задания для самопроверки







Date: 2015-09-18; view: 451; Нарушение авторских прав



mydocx.ru - 2015-2026 year. (0.218 sec.) Все материалы представленные на сайте исключительно с целью ознакомления читателями и не преследуют коммерческих целей или нарушение авторских прав - Пожаловаться на публикацию