Главная Случайная страница


Полезное:

Как сделать разговор полезным и приятным Как сделать объемную звезду своими руками Как сделать то, что делать не хочется? Как сделать погремушку Как сделать так чтобы женщины сами знакомились с вами Как сделать идею коммерческой Как сделать хорошую растяжку ног? Как сделать наш разум здоровым? Как сделать, чтобы люди обманывали меньше Вопрос 4. Как сделать так, чтобы вас уважали и ценили? Как сделать лучше себе и другим людям Как сделать свидание интересным?


Категории:

АрхитектураАстрономияБиологияГеографияГеологияИнформатикаИскусствоИсторияКулинарияКультураМаркетингМатематикаМедицинаМенеджментОхрана трудаПравоПроизводствоПсихологияРелигияСоциологияСпортТехникаФизикаФилософияХимияЭкологияЭкономикаЭлектроника






Указания к решению расчетно-графической работы №2





1. Найти изображение функции , пользуясь свойствами преобразования Лапласа:

a) ; б) ; в) ;

Решение:

а) используя таблицу соответствия (оригинал-изображение) и теорему линейности, имеем: ;

б) по таблице соответствия , а по теореме запаздывания ;

в) по таблице соответствия , а по теореме о дифференцировании изображения ;

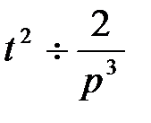
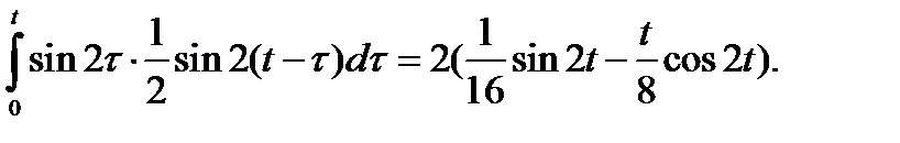
2. Найти свёртку функций и и её изображение.

 

Решение:

Свёртка функций и находится по формуле . Поэтому

. Изображение свёртки найдём по таблице соответствия и теореме линейности .

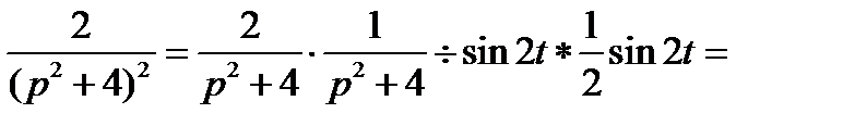
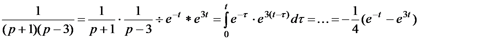
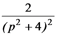
3. Найти оригинал функции , применяя теорему умножения изображений.

Решение:

Если то по теореме умножения .

Таким образом,

.

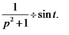
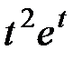
4. Найти оригинал по заданному изображению .

Решение: по таблице соответствия По теореме об интегрировании оригинала

 

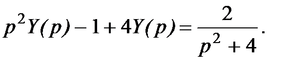
5. Операционным методом решить задачу Коши:

 

 

Решение:

Пусть , тогда по теореме дифференцирования оригинала

По таблице соответствия

Операторное уравнение имеет вид: Откуда

 

По таблице соответствия Оригинал изображения можно найти по теореме умножения:

Таким образом, искомое решение:

 







Date: 2015-09-18; view: 424; Нарушение авторских прав



mydocx.ru - 2015-2026 year. (0.539 sec.) Все материалы представленные на сайте исключительно с целью ознакомления читателями и не преследуют коммерческих целей или нарушение авторских прав - Пожаловаться на публикацию