Главная
Случайная страница
Полезное:
Как сделать разговор полезным и приятным
Как сделать объемную звезду своими руками
Как сделать то, что делать не хочется?
Как сделать погремушку
Как сделать так чтобы женщины сами знакомились с вами
Как сделать идею коммерческой
Как сделать хорошую растяжку ног?
Как сделать наш разум здоровым?
Как сделать, чтобы люди обманывали меньше
Вопрос 4. Как сделать так, чтобы вас уважали и ценили?
Как сделать лучше себе и другим людям
Как сделать свидание интересным?
Категории:
АрхитектураАстрономияБиологияГеографияГеологияИнформатикаИскусствоИсторияКулинарияКультураМаркетингМатематикаМедицинаМенеджментОхрана трудаПравоПроизводствоПсихологияРелигияСоциологияСпортТехникаФизикаФилософияХимияЭкологияЭкономикаЭлектроника
|
Введение 2 page. Задание 4. Решить смешанную задачу для уравнения теплопроводности с ненулевыми граничными условиями первого рода методом разделения переменных
4.1
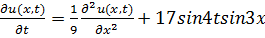
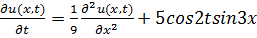
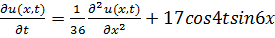
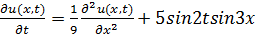
Задание 4. Решить смешанную задачу для уравнения теплопроводности с ненулевыми граничными условиями первого рода методом разделения переменных
4.1. ,
u(x,t) ,
u(x,t)
| 4.2. ,
u(x,t) ,
u(x,t)
| 4.3. ,
u(x,t) ,
u(x,t)
| 4.4. ,
u(x,t) ,
u(x,t)
| 4.5. ,
u(x,t) ,
u(x,t)
| 4.6. ,
u(x,t) ,
u(x,t)
| 4.7. ,
u(x,t) ,
u(x,t)
| 4.8. ,
u(x,t) ,
u(x,t)
| 4.9. ,
u(x,t) ,
u(x,t)
| 4.10. ,
u(x,t) ,
u(x,t)
| 4.11. ,
u(x,t) ,
u(x,t)
| 4.12. ,
u(x,t) ,
u(x,t)
| 4.13. ,
u(x,t) ,
u(x,t)
| 4.14. ,
u(x,t) ,
u(x,t)
| 4.15. ,
u(x,t) ,
u(x,t)
| 4.16. ,
u(x,t) ,
u(x,t)
| 4.17. ,
u(x,t) ,
u(x,t)
| 4.18. ,
u(x,t) ,
u(x,t)
| 4.19. ,
u(x,t) ,
u(x,t)
| 4.20. ,
u(x,t) ,
u(x,t)
| 4.21. ,
u(x,t) ,
u(x,t)
| 4.22. ,
u(x,t) ,
u(x,t)
| 4.23. ,
u(x,t) ,
u(x,t)
| 4.24. ,
u(x,t) ,
u(x,t)
| 4.25. ,
u(x,t) ,
u(x,t)
| 4.26. ,
u(x,t) ,
u(x,t)
| 4.27. ,
u(x,t) ,
u(x,t)
| 4.28. ,
u(x,t) ,
u(x,t)
| 4.29. ,
u(x,t) ,
u(x,t)
| 4.30. ,
u(x,t) ,
u(x,t)
|
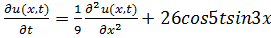
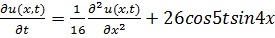
Задание 5. Решить смешанную задачу для неоднородного уравнения теплопроводности с нулевыми начальными u(x,t) , и нулевыми граничными условиями первого рода u(x,t) методом разделения переменных
5.1 ,
| 5.2.
| 5.3.
| 5.4.
| 5.5.
| 5.6.
| 5.7.
| 5.8.
| 5.9.
| 5.10.
| 5.11.
| 5.12.
| 5.13.
| 5.14.
| 5.15.
| 5.16.
| 5.17.
| 5.18.
| 5.19.
| 5.20.
| 5.21.
| 5.22.
| 5.23.
| 5.24.
| 5.25.
| 5.26.
| 5.27.
| 5.28.
| 5.29.
| 5.30.
|
Задание 6. Решить смешанную задачу для неоднородного уравнения теплопроводности с ненулевыми начальными условиями и нулевыми граничными условиями первого рода u(x,t) методом разделения переменных
6.1. ,
u(x,t)
| 6.2. ,
u(x,t)
| 6.3. , u(x,t)
| 6.4. , u(x,t)
| 6.5. , u(x,t)
| 6.6. ,
u(x,t)
| 6.7. , u(x,t)
| 6.8. ,
u(x,t)
| 6.9. , u(x,t)
| 6.10. , u(x,t)
| 6.11. , u(x,t)
| 6.12. , u(x,t)
| 6.13. , u(x,t)
| 6.14. , u(x,t)
| 6.15. , u(x,t)
| 6.16. , u(x,t)
| 6.17. , u(x,t)
| 6.18. , u(x,t)
| 6.19. , u(x,t)
| 6.20. , u(x,t)
| 6.21. , u(x,t)
| 6.22. , u(x,t)
| 6.23. , u(x,t)
| 6.24. , u(x,t)
| 6.25. , u(x,t)
| 6.26. , u(x,t)
| 6.27. , u(x,t)
| 6.28. , u(x,t)
| 6.29. , u(x,t)
| 6.30. , u(x,t)
|
Задание 7. Решить смешанную задачу для неоднородного уравнения теплопроводности с ненулевыми начальными условиями и граничными условиями первого рода методом разделения переменных
7.1. ,
u(x,t)
u(x,t)
| 7.2. ,
u(x,t)
u(x,t)
| 7.3. ,
u(x,t)
u(x,t)
| 7.4. ,
u(x,t)
u(x,t)
| 7.5. ,
u(x,t)
u(x,t)
| 7.6. ,
u(x,t)
u(x,t)
| 7.7. ,
u(x,t)
u(x,t)
| 7.8. ,
u(x,t)
u(x,t)
| 7.9. ,
u(x,t)
u(x,t)
| 7.10. ,
u(x,t)
u(x,t)
| 7.11. ,
u(x,t)
u(x,t)
| 7.12. ,
u(x,t)
u(x,t)
| 7.13. ,
u(x,t)
u(x,t)
| 7.14. ,
u(x,t)
u(x,t)
| 7.15. ,
u(x,t)
u(x,t)
| 7.16. ,
u(x,t)
u(x,t)
| 7.17. ,
u(x,t)
u(x,t)
| 7.18. ,
u(x,t)
u(x,t)
| 7.19. ,
u(x,t)
u(x,t)
| 7.20. ,
u(x,t)
u(x,t)
| 7.21. ,
u(x,t)
u(x,t)
| 7.22. ,
u(x,t)
u(x,t)
| 7.23. ,
u(x,t)
u(x,t)
| 7.24. ,
u(x,t)
u(x,t)
| 7.25. ,
u(x,t)
u(x,t)
| 7.26. ,
u(x,t)
u(x,t)
| 7.27. ,
u(x,t)
u(x,t)
| 7.28. ,
u(x,t)
u(x,t)
| 7.29. ,
u(x,t)
u(x,t)
| 7.30. ,
u(x,t)
u(x,t)
|
Date: 2015-09-18; view: 465; Нарушение авторских прав | Понравилась страница? Лайкни для друзей: |
|
|