Главная Случайная страница


Полезное:

Как сделать разговор полезным и приятным Как сделать объемную звезду своими руками Как сделать то, что делать не хочется? Как сделать погремушку Как сделать так чтобы женщины сами знакомились с вами Как сделать идею коммерческой Как сделать хорошую растяжку ног? Как сделать наш разум здоровым? Как сделать, чтобы люди обманывали меньше Вопрос 4. Как сделать так, чтобы вас уважали и ценили? Как сделать лучше себе и другим людям Как сделать свидание интересным?


Категории:

АрхитектураАстрономияБиологияГеографияГеологияИнформатикаИскусствоИсторияКулинарияКультураМаркетингМатематикаМедицинаМенеджментОхрана трудаПравоПроизводствоПсихологияРелигияСоциологияСпортТехникаФизикаФилософияХимияЭкологияЭкономикаЭлектроника






Теорема Гаусса для электрического поля





 

Поток силовых линий через поверхность играет роль меры на образе поля. Чтобы получить некий закон с помощью такой меры, нужно выбрать общий тип поверхности, а именно - замкнутую поверхность (которая, очевидно, состоит из участков незамкнутых поверхностей и представляет собой нечто "большее", более общее). Договоримся вектор нормали направлять наружу замкнутой поверхности, - тогда "входящие" извне силовые линии образуют отрицательный поток, а "выходящие" изнутри силовые линии образуют положительный поток.

 

Очевидно, здесь могут быть две ситуации:

 

а) внутри поверхности заряды отсутствуют, тогда силовые линии полей внешних зарядов, пронизывающие насквозь замкнутую поверхность, создадут "входящий" отрицательный поток и точно такой же по модулю "выходящий" положительный поток (ведь геометрический смысл потока - просто количество силовых линий!), так что суммарный поток будет нулевым:

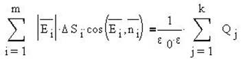
б) внутри замкнутой поверхности находятся электрические заряды, тогда их поля, согласно принципу суперпозиции, просто складываются, и общее количество силовых линий, "выходящих" наружу, прямопропорционально количеству k зарядов внутри поверхности (поток иголок сквозь полиэтиленовый пакет прямопропорционален количеству ежей в пакете):

 

Очевидно, за интенсивность поля (густоту силовых линий) данного заряда "отвечает" и физическая среда, в которой он находятся. В вакууме коэффициент пропорциональности между потоком поля сквозь замкнутую поверхность и количеством зарядов внутри нее образован фундаментальной электрической постоянной Е 0:

В диэлектрике за счет противоположного поля поверхностных зарядов поле "внедренного" заряда ослабевает в Е раз:

 

Полученное выражение носит название теорема Гаусса. В общем случае, рассматриваемом разделом высшей математики - классической теорией поля, формулировка теоремы следующая: поток вектора поля сквозь замкнутую поверхность прямопропорционален количеству источников поля внутри поверхности. Поле при этом может быть любой природы: гравитационное, магнитное и т. п







Date: 2015-09-05; view: 626; Нарушение авторских прав



mydocx.ru - 2015-2026 year. (0.569 sec.) Все материалы представленные на сайте исключительно с целью ознакомления читателями и не преследуют коммерческих целей или нарушение авторских прав - Пожаловаться на публикацию