Главная Случайная страница


Полезное:

Как сделать разговор полезным и приятным Как сделать объемную звезду своими руками Как сделать то, что делать не хочется? Как сделать погремушку Как сделать так чтобы женщины сами знакомились с вами Как сделать идею коммерческой Как сделать хорошую растяжку ног? Как сделать наш разум здоровым? Как сделать, чтобы люди обманывали меньше Вопрос 4. Как сделать так, чтобы вас уважали и ценили? Как сделать лучше себе и другим людям Как сделать свидание интересным?


Категории:

АрхитектураАстрономияБиологияГеографияГеологияИнформатикаИскусствоИсторияКулинарияКультураМаркетингМатематикаМедицинаМенеджментОхрана трудаПравоПроизводствоПсихологияРелигияСоциологияСпортТехникаФизикаФилософияХимияЭкологияЭкономикаЭлектроника






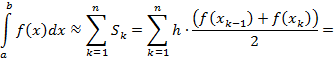
Приближенное вычисление определенного интеграла (формула трапеций)





Пусть и непрерывна на .

Рассмотрим криволинейную трапецию, ограниченную графиком сверху,

отрезком на оси Ох снизу и прямыми , .

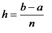
Разобьем отрезок на равных частей.

Обозначим через

длину каждого отрезка.

На каждом отрезке разбиения построим трапецию,

соединив дополнительно хордой точки и .

Арифметические свойства несобственных интегралов.

Если сходятся Н. И.

то сходятся Н. И.

Доказательство:


Т. к. Н. И. (1) сходится, то

Т. к. Н. И. (2) сходится, то


 

 

Доказательство:

Т. к. Н. И. (1) сходится, то

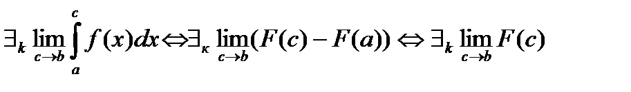
Формула Ньютона-Лейбница для несобственного интеграла.

Т Пусть дан Н. И. с единственной особой точкой

и имеет первообразную на .

Н. И. сходится тогда, и только тогда, когда

и в случае сходимости этого предела

Доказательство:

По определению сходимость Н. И. означает, что или .

Из первой части доказательства следует и вторая часть.

 







Date: 2015-09-05; view: 866; Нарушение авторских прав



mydocx.ru - 2015-2026 year. (1.579 sec.) Все материалы представленные на сайте исключительно с целью ознакомления читателями и не преследуют коммерческих целей или нарушение авторских прав - Пожаловаться на публикацию