Главная Случайная страница


Полезное:

Как сделать разговор полезным и приятным Как сделать объемную звезду своими руками Как сделать то, что делать не хочется? Как сделать погремушку Как сделать так чтобы женщины сами знакомились с вами Как сделать идею коммерческой Как сделать хорошую растяжку ног? Как сделать наш разум здоровым? Как сделать, чтобы люди обманывали меньше Вопрос 4. Как сделать так, чтобы вас уважали и ценили? Как сделать лучше себе и другим людям Как сделать свидание интересным?


Категории:

АрхитектураАстрономияБиологияГеографияГеологияИнформатикаИскусствоИсторияКулинарияКультураМаркетингМатематикаМедицинаМенеджментОхрана трудаПравоПроизводствоПсихологияРелигияСоциологияСпортТехникаФизикаФилософияХимияЭкологияЭкономикаЭлектроника






Интрапренерства в строительной сфере





Оценка эффективности интрапренерства может вестись как с позиций интрапренерской единицы (интрапренера), так и с позиций базового предприятия (БП).

С позиций интрапренера (интрапренерской единицы – ИЕ) можно говорить только об эффекте создания и функционирования конкретной ИЕ.

В то время как для предприятия в целом возможно рассмотрение эффекта формирования системы интрапренерства (СИ) на предприятии и создания конкретной ИЕ.

Исследуя эффект интрапренерства с позиций ИЕ, следует помнить, что данное явление способно обеспечить помимо экономического и социальный эффект.

Социальный эффект выражается в повышении социального статуса самого интрапренера и его команды, возможности более полной их самореализации, росте уровня благосостояния, расширении возможностей создания и практического использования интеллектуальной собственности.

Экономический результат интрапренерства для ИЕ состоит в получении доходов от интрапренерской деятельности, самостоятельно распределяемых

и используемых в рамках предпринимательского подразделения.

Эффективность функционирования ИЕ с точки зрения интрапренера может быть оценена и через сравнение общих показателей ее работы

с показателями по предприятию, такими как фондоотдача, производительность труда, рентабельность продукции, продаж, основных фондов.

С позиций базового предприятия социальный эффект создания СИ выражается в закреплении на предприятии инициативных работников

с творческим потенциалом в качестве интрапренеров, закреплении квалифицированных работников за счет предоставления возможности дополнительных заработков в рамках ИЕ, повышении благосостояния коллектива предприятия и производительности труда.

Экономический эффект формирования СИ может быть выражен совокупностью показателей. Прежде всего, он проявляется в росте получаемых доходов за счет деятельности создаваемых ИЕ.

Оценка эффекта по данному аспекту может базироваться на двух подходах. Первый основан на изолированном от общего учете экономических результатов деятельности ИЕ. В этом случае в доходы базового предприятия включаются только поступления в его пользу от ИЕ (отчисления от прибыли ИЕ, оплата услуг подразделений базового предприятия, арендная плата и т. д.), в расходы – затраты предприятия на создание и обеспечение деятельности ИЕ.

На наш взгляд, более обоснованным является другой подход, основанный на хозяйственно–юридической целостности базового предприятия, составными частями которого являются ИЕ. В соответствии с логикой этого подхода,

в качестве показателя, измеряющего эффект по данному направлению, может служить сумма годовой прибыли, создаваемой всеми ИЕ, либо сумма чистого дисконтированного дохода от деятельности всех ИЕ за выбранный временной горизонт с учетом инвестиций в создание каждой ИЕ.

Одной из составляющих эффекта является повышение уровня использования ресурсов базового предприятия. Непосредственно изменение уровня использования можно оценить с помощью таких показателей, как коэффициенты загрузки оборудования, показатели полноты использования рабочего времени работников, коэффициенты оборачиваемости запасов

и оборотных средств в целом и т. д. Различные показатели ресурсоотдачи характеризуют частные экономические результаты повышения уровня использования отдельных видов ресурсов: фондоотдача, производительность труда, транспорта, средств механизации, выработка (производительность труда), рентабельность производства, ОПФ, персонала.

Одной из целей создания ИЕ может быть снижение себестоимости конечного продукта базового предприятия – в случае, если ИЕ производит продукцию или оказывает услуги на внутреннее потребление в рамках базового предприятия. Интрапренерская идея, реализуемая в таком подразделении, направлена на более эффективную реализацию определенных производственных функций или производств. В такой ситуации основной эффект для базового предприятия проявится в снижении себестоимости конечного продукта в результате деятельности ИЕ.

Итоговым показателем, вбирающим в себя результат дополнительных доходов от деятельности ИЕ, повышение ресурсоотдачи, снижение себестоимости для базового предприятия, является прирост его чистого дисконтированного дохода, очищенный от влияния других факторов,

не связанных с созданием СИ и ИЕ.

Отдельного рассмотрения заслуживает возможность получения эффекта от СИ за счет диверсификации деятельности. Создаваемые ИЕ разных направлений деятельности способны расширить сферы деятельности предприятия, обеспечить его большую устойчивость к изменениям внешней


и внутренней среды, колебаниям рыночной конъюнктуры, кризисным явлениям и т. д. Диверсификация деятельности обусловливает и диверсификацию рисков, понижая общий их уровень для предприятия.

Эффект по данному направлению проявляется не сразу, а на достаточно длительных временных интервалах, его трудно вычленить и оценить количественно даже постфактум. Тем более априорная оценка такого рода последствий внедрения интрапренерства не может быть объективной

и обоснованной. Однако некоторые ориентировочные оценки при существовании СИ хотя бы в течение 2–5 лет могут быть сделаны. Их основой может служить сценарный подход. Анализируя в ретроспективе негативные и рисковые ситуации, с которыми сталкивалось предприятие за выбранный период можно оценить их возможные последствия при отсутствии в составе предприятия ИЕ. Это возможные сокращения объемов производства, рост затрат, снижение качества продукции, отсутствие определенных сегментов рынка и т. д.

Итоговым выражением эффекта от создаваемой на предприятии СИ является обеспечиваемый ею рост стоимости бизнеса. При существующих трех подходах к оценке: затратном, доходном, сравнительном – применимость последнего в данном случае явно нецелесообразна [2]. Выявить влияние

на рыночную стоимость предприятия любых нововведений в сфере управления сравнительным подходом в современной российской экономике практически невозможно. Тем более, если речь идет о новом инструменте управления,

не имеющем пока широкого распространения в практике хозяйствования.

Затратный подход может позволить оценить прирост стоимости имущества базового предприятия в результате создания СИ и ИЕ. Но поскольку одной из основных целей интрапренерства является развертывание новых производств без привлечения дополнительных ресурсов, затратный подход

не может рассматриваться как инструмент реального отражения на стоимости предприятия создания ИЕ (прироста стоимости имущества в результате может и не произойти совсем).

Таким образом, в современных условиях оптимальным подходом, применимым для оценки влияния на стоимость бизнеса создания СИ

и конкретных ИЕ может быть доходный подход, основанный на оценке изменения чистых дисконтированных денежных потоков. Причем в логике, примененной при обсуждении дополнительных доходов о деятельности ИЕ, учитываться должны изменения притоков и оттоков в целом по базовому предприятию как единому хозяйственному комплексу.

Рассмотрение проблемы оценки эффекта от формирования

на предприятии СИ объективно приводит к оценке эффекта от совокупности созданных ИЕ.

Если на предприятии функционирует несколько ИЕ, по отношению

к каждой из них правомерен вопрос об эффекте создания и функционирования для базового предприятия. Состав направлений проявления эффекта совпадает с рассмотренными для СИ в целом, но речь должна идти о последствиях создания и деятельности конкретной ИЕ для экономической и социальной сферы базового предприятия.

Общая схема анализа направлений получения эффекта от создания системы интрапренерства и отдельных ИЕ приведена на рисунке.

Эффект интрапренерства
С позиций базового предприятия
С позиций интрапренерской единицы
Социальный эффект
Закрепление на предприятии инициативных работ-ников с творческим потенциалом в качестве интрапренеров
Закрепление на предприятии квалифицированных работников за счет предоставления возможности дополнительных заработков в рамках предприниматель-ских единиц
Повышение благосостояния коллектива предприятия
Улучшение социально-психологического климата на предприятии. Создание действенных стимулов к производительному труду, повышение ответственности за результаты труда
Улучшение внешнего имиджа предприятия
Экономический эффект
От создания системы интрапре-нерства на предприя-тии
От создания конкретной интрапренерской единицы
Появление и практическое использование интеллектуальной собственности
Рост стоимости бизнеса
Получение дополнительной прибыли от деятельности интрапренерских единиц
Более полное использование имеющихся ресурсов всех видов
Диверсификация деятельности предприятия, повышение его экономической устойчивости и конкурентоспособности
Уменьшение себестоимости за счет использования интрапренерских идей, направленных на снижение затрат
Социальный эффект
Экономический эффект
    Повышение социального статуса интрапренера и коллектива интрапренерской единицы
  Возможность более полной самореализации интрапренера и участников его команды
    Повышение благосостояния работников интрапренерской единицы.
  Возможность создания и ис-пользования интеллектуаль-ной собственности
    Получение доходов от интрапренеской деятельности, самостоятельно распределяемых и используемых в рамках предпринимате-льской единицы
Рис. Основные направления получения эффекта от внедрения на предприятии системы интрапренерства


Для базового предприятия, на котором функционируют несколько ИЕ, актуальным является вопрос о том, какие ИЕ работают эффективнее, являются более значимыми для предприятия. В соответствии с ответом на этот вопрос могут решаться вопросы более весомой поддержки каких либо ИЕ, выстраивания приоритетов в распределении ресурсов, в проведении инвестиционной политики.

Для решения данной проблемы предлагается использование рейтинговой системы оценки результатов деятельности ИЕ [1].

Алгоритм построения рейтинга результатов деятельности интрапренерской единицы имеет следующий вид

1. Отбирается группа однотипных ИЕ и формируется группа показателей, по которым они будут сравниваться. При этом все показатели должны быть однонаправлены.

2. Исходные данныепредставляются в виде матрицы, где в левом столбце перечисленыотобранные показатели, в верхней строке – условно обозначенные интрапренерские единицы. Ячейки матрицы (аij) представляют собой значения показателей сравниваемых подразделений.


3. По каждому показателю находится лучшее значение и заносится в столбец эталонной интрапренерской единицы (табл. 1)

Таблица 1.

Исходная информация для расчета рейтинговых оценок

Показатель ИЕ А ИЕ Б Эталонная ИЕ
Доля прибыли ИЕ в общем объеме прибыли базового предприятия, %      
Выработка, тыс. руб./чел.      
Фондоотдача, руб./руб.      
Рентабельность персонала, %      
Рентабельность продукции, %      
Коэффициент постоянства кадров, %      
Реинвестируемая ИЕ прибыль, тыс. руб.      

Примечание: показатели, представленные в табл. 1, предложены автором как пример и могут быть изменены

4. Исходные показатели матрицы стандартизируются относительно эталонной ИЕ по формуле:

(1)

5. Стандартизированные показатели относительно эталонной ИЕ заносятся в новую матрицу (табл. 2.)

Таблица 2

Стандартизированные показатели относительно эталонной ИЕ

Показатель ИЕ А ИЕ Б
Доля прибыли ИЕ в общем объеме прибыли базового предприятия, %    
Выработка, тыс. руб./чел.    
Фондоотдача, руб./руб.    
Рентабельность персонала, %    
Рентабельность продукции, %    
Коэффициент постоянства кадров, %    
Реинвестируемая ИЕ прибыль, тыс. руб.    

 

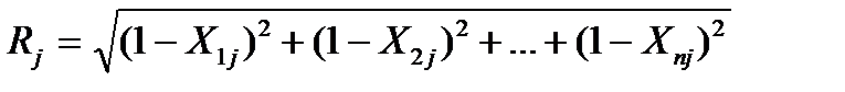
6. Для каждой интрапренерской единицы значение ее рейтинговой оценки определяется по формуле:

(2

7. ИЕ упорядочиваются в порядке убывания рейтинговой оценки, т. е. наивысший рейтинг имеют единицы с наименьшим R.

Литература

1. Бобылева А.З. Финансовое оздоровление фирмы: Теория и практика: Учеб. Пособие.- М.: «Дело», 2003г.-256с.

2. Федеральный закон «Об оценочной деятельности в Российской Федерации». Стандарты оценки. - М.: «Книга сервис», 2003г. - 16с.

 

 

Канд. экон. наук М. Ф. Власова,







Date: 2015-09-17; view: 596; Нарушение авторских прав



mydocx.ru - 2015-2026 year. (0.479 sec.) Все материалы представленные на сайте исключительно с целью ознакомления читателями и не преследуют коммерческих целей или нарушение авторских прав - Пожаловаться на публикацию