Главная Случайная страница


Полезное:

Как сделать разговор полезным и приятным Как сделать объемную звезду своими руками Как сделать то, что делать не хочется? Как сделать погремушку Как сделать так чтобы женщины сами знакомились с вами Как сделать идею коммерческой Как сделать хорошую растяжку ног? Как сделать наш разум здоровым? Как сделать, чтобы люди обманывали меньше Вопрос 4. Как сделать так, чтобы вас уважали и ценили? Как сделать лучше себе и другим людям Как сделать свидание интересным?


Категории:

АрхитектураАстрономияБиологияГеографияГеологияИнформатикаИскусствоИсторияКулинарияКультураМаркетингМатематикаМедицинаМенеджментОхрана трудаПравоПроизводствоПсихологияРелигияСоциологияСпортТехникаФизикаФилософияХимияЭкологияЭкономикаЭлектроника






Основы количественной теории цепных реакций





Введем необходимые обозначения:

n - число центров, возникающих за одну секунду во всем объеме реакционного сосуда;

τ- время жизни активного центра;

α- вероятность жизни центра;

β- вероятность гибели центра;

t- время, за которое появляется «n» центров;

Очевидно, что, ά + β= 1.

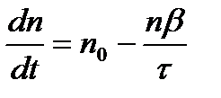
Скорость увеличения числа n определяется уравнением:

После интегрирования получаем:

n=

Графическая зависимость n=f(t) представлена на рис.7

Рис.7

 

При возникает стационарное состояние, при котором:

nстац.= n

При стационарном состоянии число возникающих центров равно числу гибнущих центров. При этом скорость процесса определяется соотношением:

длинна цепи.

В случае разветвленных цепей активный центр, входя в реакцию, воссоздается в виде двух, трех или более новых центров, поэтому необходимо учитывать вероятность разветвления (δ).

Скорость увеличения числа возникающих центров (n) с учетом разветвления цепи, определяется соотношением:

Интегрируя, получаем: n=

Проанализируем это уравнение для частных случаев.

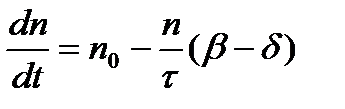
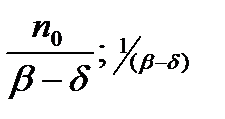
При β > δ (t→ ) процесс принимает стационарный характер со скоростью:

W = имеет смысл длинны цепи.

При δ > β скорость неограниченно увеличивается со временем; изменим знаки:

n=

Отсюда следует, что при t→ число центров n→ , т.е. с течением времени оно неограниченно увеличиваются по экспоненте и реакция принимает взрывной характер (рис.8).

Рис.8

Из рисунка видно, что в начале процесс не развивается. Это индукционный период. Количество продуктов очень мало. Граница перехода стационарного течения реакции к взрыву определяется δ = β.

Величина β может быть изменена условиями реакции, например уменьшением давления.







Date: 2015-09-17; view: 546; Нарушение авторских прав



mydocx.ru - 2015-2026 year. (0.226 sec.) Все материалы представленные на сайте исключительно с целью ознакомления читателями и не преследуют коммерческих целей или нарушение авторских прав - Пожаловаться на публикацию