Главная Случайная страница


Полезное:

Как сделать разговор полезным и приятным Как сделать объемную звезду своими руками Как сделать то, что делать не хочется? Как сделать погремушку Как сделать так чтобы женщины сами знакомились с вами Как сделать идею коммерческой Как сделать хорошую растяжку ног? Как сделать наш разум здоровым? Как сделать, чтобы люди обманывали меньше Вопрос 4. Как сделать так, чтобы вас уважали и ценили? Как сделать лучше себе и другим людям Как сделать свидание интересным?


Категории:

АрхитектураАстрономияБиологияГеографияГеологияИнформатикаИскусствоИсторияКулинарияКультураМаркетингМатематикаМедицинаМенеджментОхрана трудаПравоПроизводствоПсихологияРелигияСоциологияСпортТехникаФизикаФилософияХимияЭкологияЭкономикаЭлектроника






Реакции второго порядка





Они бывают двух типов: в одном случае реагируют друг с другом две молекулы одного и того же вещества, в другом - две молекулы разных веществ.

Для такой реакции как 2А→ продукты выражение скорости имеет вид:

Далее, рассуждая по известной нам схеме получим:

Для реакции А + В → продукты выражения скорости будет иметь вид:

;

СЛОЖНЫЕ РЕАКЦИИ

Если реакция сложная, то для изучения зависимости ее скорости от концентрации реагентов необходимо знать кинетический механизм, т.е. элементарные стадии через которые осуществляется изучаемое превращение.

По кинетическому механизму все сложные реакции подразделяются на следующие типы:

§ последовательные;

§ параллельные;

§ обратимые;

§ сопряженные;

§ фотохимические;

§ цепные;

§ гетерогенные;

Последовательными называются сложные реакции, в которых продукт первой стадии вступает в реакцию второй стадии, продукт второй стадии вступает в третью и т. д. пока не образуется продукт реакции.

Рассмотрим простейшую последовательную реакцию, состоящую из двух мономолекулярных стадий:

Кинетика этой реакции списывается системой из трех дифференциальных уравнений, которые составляются для скорости простых реакций, на основе закона действующих масс:

, где

а - концентрация вещества А при τ =0;

(a-x) - концентрация вещества А к моменту времени τ;

(x-y)- концентрация вещества В к моменту времени τ;

y- концентрация вещества P к моменту времени.

 

Если реакция протекает с образованием промежуточных продуктов, концентрации которых вблизи максимума изменяются незначительно, то можно считать, что они стационарны. Из этого следует:

Интегрирование системы уравнений с учетом принципа стационарных концентраций дает следующее решение:

1. При . Реакция первого порядка, скорость определяется первой стадией.

2. При .Реакция также первого порядка, скорость определяется второй стадией.

Кинетические кривые отражают наиболее характерные особенности последовательных реакций. Концентрация исходного вещества (А) монотонно убывает.

Концентрация промежуточного вещества (В) в начале возрастает, достигает максимума, затем падает. Концентрация конечного продукта (P) монотонно возрастает со временем.

Рис.3 Кинетические кривые для последовательной реакции.

 

В точке максимума выполняется соотношение:

Величина max. зависит от , но не зависит от абсолютных значений констант. При этом, чем больше тем больше образуется max. и тем ближе к началу координат лежит максимум.

Обычный путь лекарственного вещества в организме можно рассматривать как последовательность двух процессов: всасывание из желудка в кровь (характеризуется константой всасывания квс) и выведение из крови в мочу (характеризуется константой выведения квв):

Кинетика изменения массы лекарства в желудке , крови моче описывается уравнениями и кривыми, аналогичными для выше рассмотренной реакции: А → В → Р

Параллельные реакции. Реакции называются таковыми, если в каждой из них принимает участие одно и тоже исходное вещество, которое одновременно по различным направлениям превращается в разные продукты.

Возможность таких реакций определяется термодинамической вероятностью (∆G<0), но относительные количества продуктов реакции определяются всецело соотношением скоростей, а не соотношением их термодинамической устойчивости. При значительном различии скоростей параллельных реакций главной называют ту, которая имеет большую скорость. При небольшом различии в скоростях реакций главной считают ту, которая приводит к образованию нужных продуктов.

Рассмотрим наиболее простой случай, когда обе реакции являются реакциями первого порядка:

В этом случае , где

- текущая концентрация вещества А.

Разделяя переменные и интегрируя получаем:

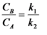
Для определения каждой константы в отдельности учтем, что концентрации веществ, прореагировавших по первой и второй реакциям, пропорциональны константам, соответствующих скоростей

Таким образом, определив в какой либо момент времени соотношение продуктов реакций, можно найти отношение констант, а следовательно и каждую константу в отдельности.

Зависимость изменения концентраций от времени для продуктов параллельных реакций показана на рис.4

τ

Рис.4

 

Обратимые (двусторонние) реакции. Понятие обратимая реакция следует отличать от термодинамического понятия обратимый процесс, который характеризуется бесконечно малым различием скоростей прямого и обратного процессов и, следовательно, бесконечно малой скоростью результирующего процесса.


Двухсторонняя химическая реакция обратима в термодинамическом смысле только в непосредственной близости к состоянию химического равновесия. В состоянии же, далеком от равновесия, когда скорости прямого и обратного процессов существенно различны и суммарная скорость реакции значительно отличается от нуля, она термодинамически не обратима. Поэтому область применения понятия двусторонняя реакция шире, чем термодинамическое понятие обратимая реакция.

Более подробно кинетические особенности обратимой реакции рассмотрим на примере:

к 1

А ↔ В

к 2

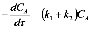
Предположим, что в системе присутствует, только вещество А. Тогда выражение для скорости реакции через закон действующих масс принимает вид:

, где

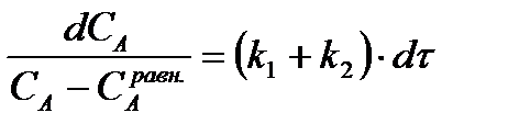
После преобразования приходим к следующему выражению:

В состоянии равновесия:

Из этого равенства находим :

Подставим найденное значение в выражение для скорости обратимой реакции:

Разделим переменные:

-

После интегрирования получим:

Кинетические кривые обратимых процессов представлены на рис.5 и 6.

Рис.5 Рис.6

 

Рис.5. Кинетическая кривая реакции А↔В с большой константой равновесия.

Рис.6. Кинетическая кривая для обратимой реакции А↔В с малой константой равновесия.

Сопряженные реакции. Так называются две реакции, одна из которых будучи самопроизвольной, вызывает протекание в этой же системе второй химической реакции, неосуществимой в отсутствие первой. Явление, лежащее в основе сопряженных реакций, называется химической индукцией. Особенностью сопряженных реакций является то, что обе реакции должны быть сложными, т.к. элементарная реакция не может быть индуцирована другой реакцией, и протекают они через общие активные промежуточные вещества.

Большинство биохимических процессов в организме осуществляется в результате сопряжения с процессом метаболического окисления глюкозы. Поэтому говорят, что глюкоза является источником, обеспечивающим жизнедеятельность организма.

Одним из основных результатов окисления глюкозы в организме является сопряженный с этим процессом синтез аденозинтрифосфата (АТФ) из аденозиндифосфата (АДФ) и фосфата (Ф):

АДФ+Ф=АТФ+ ;

Синтезированная АТФ участвует затем в многообразных сопряженных реакциях метаболизма, обеспечивая протекание термодинамических невыгодных процессов.

Фотохимические реакции. Это особый класс сложных реакций, идущих под воздействием света. Все фотохимические процессы подчиняются закону Гроттуса:







Date: 2015-09-17; view: 801; Нарушение авторских прав



mydocx.ru - 2015-2026 year. (1.538 sec.) Все материалы представленные на сайте исключительно с целью ознакомления читателями и не преследуют коммерческих целей или нарушение авторских прав - Пожаловаться на публикацию