Главная Случайная страница


Полезное:

Как сделать разговор полезным и приятным Как сделать объемную звезду своими руками Как сделать то, что делать не хочется? Как сделать погремушку Как сделать так чтобы женщины сами знакомились с вами Как сделать идею коммерческой Как сделать хорошую растяжку ног? Как сделать наш разум здоровым? Как сделать, чтобы люди обманывали меньше Вопрос 4. Как сделать так, чтобы вас уважали и ценили? Как сделать лучше себе и другим людям Как сделать свидание интересным?


Категории:

АрхитектураАстрономияБиологияГеографияГеологияИнформатикаИскусствоИсторияКулинарияКультураМаркетингМатематикаМедицинаМенеджментОхрана трудаПравоПроизводствоПсихологияРелигияСоциологияСпортТехникаФизикаФилософияХимияЭкологияЭкономикаЭлектроника






Химическое превращение вещества может быть вызвано только тем светом, который этим веществом поглощается





Отраженные веществом лучи, а также прошедшие сквозь него, не вызывают никаких химических превращений.

Количественно фотохимический процесс выражается уравнением:

m= к W τ, где

m - масса прореагировавшего вещества;

W - мощность света;

τ - время;

к - коэффициент пропорциональности, который соответствует массе вещества, приходящейся на единицу поглощенной световой энергии.

Это уравнение справедливо только для первичных фотохимических реакций.

Рассмотрим механизм фотохимической реакции:

1-я стадия- образование фотовозбужденных молекул

А + hν→A , где

А - молекула в исходном состоянии;

А - молекула реагента, поглотившая квант света с энергией .

Возбужденные молекулы распадаются или вступают в реакции с другими реагентами, образуя радикалы или ионы Х1 и Х2:

A + В→X1+X2

Эта реакция называется первичной.

Активные частицы (ионы или радикалы) вступают во вторичные реакции, в которых образуются конечные продукты:

X1+B →С

X2+B →D

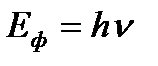
Между количеством лучистой энергии, поглощенной частицами вещества и количеством, фотохимически прореагировавших частиц, существует соотношение, выражающее закон фотохимической эквивалентности Эйнштейна:







Date: 2015-09-17; view: 460; Нарушение авторских прав



mydocx.ru - 2015-2026 year. (1.034 sec.) Все материалы представленные на сайте исключительно с целью ознакомления читателями и не преследуют коммерческих целей или нарушение авторских прав - Пожаловаться на публикацию