Главная Случайная страница


Полезное:

Как сделать разговор полезным и приятным Как сделать объемную звезду своими руками Как сделать то, что делать не хочется? Как сделать погремушку Как сделать так чтобы женщины сами знакомились с вами Как сделать идею коммерческой Как сделать хорошую растяжку ног? Как сделать наш разум здоровым? Как сделать, чтобы люди обманывали меньше Вопрос 4. Как сделать так, чтобы вас уважали и ценили? Как сделать лучше себе и другим людям Как сделать свидание интересным?


Категории:

АрхитектураАстрономияБиологияГеографияГеологияИнформатикаИскусствоИсторияКулинарияКультураМаркетингМатематикаМедицинаМенеджментОхрана трудаПравоПроизводствоПсихологияРелигияСоциологияСпортТехникаФизикаФилософияХимияЭкологияЭкономикаЭлектроника






Понижение температуру замерзания растворов





Замерзание представляет собой фазовый переход, при котором происходит превращение жидкости в твердое вещество. Температурой замерзания 9кристаллизации) жидкости называют ту температуру, при которой давление насыщенного пара над жидкостью равно давлению насыщенного пара над выпадающими из нее кристаллами твердой фазы.

При этой температуре и соответствующем ей давлении насыщенного пара скорость кристаллизации равна скорости плавления и обе эти фазы могут сосуществовать в течение длительного времени.

Еще М.В. Ломоносов заметил, что разбавленный раствор замерзает при температуре более низкой, чем чистый растворитель. Так, морская вода замерзает не при 273 К, а при несколько более низкой температуре. Многочисленные эксперименты показали, что такое изменение температуры замерзания раствора можно рассматривать как общее правило.

Процессы замерзания и кипения были детально изучены Раулем и представлены в виде закона, который в последствии был назван вторым законом Рауля.

рассмотрим простейший вывод этого закона. На рис.2 показана диаграмма, выражающая зависимость давления насыщенног пара от температуры над чистым растворителем и над раствором.

Р

 


А С Е

 

 

0 рис. 2

 

B K

 

 

D

 

273 Т

T”з T’з

 

 

Кривая 0А – зависимость давления насыщенного пара чистой воды от температуры.

Кривая ВС, ДЕ – зависимость давления насыщенного пара воды над растворами с различными концентрациями растворенного вещества

0Д – выражает температурную зависимость давления насыщенного пара воды над льдом.

Из рис.2 видно, что давление пара над раствором при 273 К ниже, чем над водой, но оно не равно давлению пара над льдом при той же температуре. Лишь при температуре ниже 273 К (Т’з) давление пара над раствором уменьшается настолько, что становится равным давлению пара над льдом. Этому соответствует точка В. При более высоких концентрациях раствора кривые, выражающие зависимость давления пара воды над раствором от температуры, располагаются ниже кривой ВС, но параллельно ей.

Введем следующий обозначения:

Р0А – давление пара над чистым растворителем при 273 К

РА – давление пара над раствором при температуре его замерзания Т’з

Далее из точки В параллельно оси абсцисс проведем линию до пересечения с перпендикуляром опущенным из точки 0. Пересечение этих прямых обозначим точкой К.

Из прямоугольного треугольника ВОК определяем

Из рисунка 2 видно, что , где - понижение температуры замерзания раствора.

Подставляя эти значения в выше записанное уравнение, получим

откуда

(3)

 

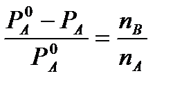
Из первого закона Рауля для сильно разбавленных растворов имеем

 

откуда

и (4)

 

где nА, nВ, mА сохраняют ранее присвоенные обозначения (см. выше). Если через М0А обозначить молярную массу растворителя, то

При подстановке этого выражения в уравнение (4) получим

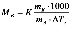
Умножим и разделим правую часть этого выражения на 1000, тогда

(5)

Объединим все постоянные величины в уравнении (5) в одну постоянную К (), получим следующее выражение

(6)

Выражение представляет собой моляльность раствора Св.

Подставив это выражение в уравнение (6), получим окончательное уравнение.

(7)

Это и есть математическое выражение второго закона Рауля: понижение температуры замерзания или повышение температуры кипения растворов прямо пропорционально его моляльной концентрации.

Коэффициент К в уравнении (7) носит название криоскопической постоянной, показывает молярное понижение температуры замерзания раствора, является индивидуальной характеристикой растворителя (КН2О=1,86º) и имеет ту же размерность, что и Е (Кº·кг·моль-1)

Метод исследования, основанный на измерении понижения температуры замерзания растворов, называется криоскопическим. Он также, как и эбуллиоскопический позволяет вычислить молярную массу растворенного вещества

На рис.3 изображен прибор, предназначенный для измерения температуры замерзания растворов.

 


ОСМОС И ОСМОТИЧЕСКОЕ ДАВЛЕНИЕ.

 

Весьма важным в биологическом отношении свойством растворов является осмос.

В природе часто растворы отделяются от растворителя мембранами, проницаемыми лишь дл я частиц растворителя. В этом случае растворенное вещество диффундировать в растворитель не может, и будет наблюдаться только переход растворителя в в раствор, т.е. растворитель будет перемещаться в обоих направлениях, но все же в раствор его будет переходить немного больше, чем в обратном направлении.


Механизм осмоса легко представить на основе изотермической перегонки. Пусть полупроницаемая мембрана, имеющая микропоры, разделяет растворитель и раствор с концентрацией Св (рис.4)

рис.4

 

В пору, ограниченную с одной стороны растворителем, а с другой раствором, идет испарение. Вследствие повышения по закону Рауля упругости насыщенного пара со стороны растворителя из парообразной фазы концентрируется, переходя в раствор.

В результате осмоса увеличивается объем раствора, и его концентрация постепенно снижается; проникающий через мембрану в раствор растворитель увеличивает столб жидкости h и, следовательно, повышает гидростатическое давление (см. рис.5). Одновременно будет возрастать число молекул растворителя, перемещающихся через мембрану в обратном направлении, т.е. из раствора в растворитель. постепенно гидростатическое давление и разбавление раствора достигнут величин, при которых количество молекул растворителя, перемещающихся в обоих направлениях, уравняется и наступит осмотическое равновесие. Развившееся в результате осмоса избыточное гидростатичекое давление, измеряемое столбом раствора высотой h, при котором устанавливается осмотическое равновесие, называют осмотическим давлением.

рис. 5

Полупроницаемыми для многих растворов являются мембраны из коллодия, целлофана, железистосинеродистой меди и др.

 

ЗАКОНЫ ОСМОТИЧЕСКОГО ДАВЛЕНИЯ.

 

Изучение законов осмотического давления выявило их полную аналогию с газовыми законами. Для разбавленных растворов неэлектролитов их можно сформулировать так:

при постоянной температуре осмотическое давление прямо пропорционально молярной концентрации растворенного вещества (аналогия с законом Бойля-Мариотта):

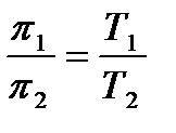
при постоянной молярной концентрации осмотическое давление прямо пропорционально абсолютной температуре (аналогия с законом Гей-Люссака):

Из двух этих законов следует, что при одинаковых молярных концентрациях и температуре растворы разных неэлектролитов создают одинаковое осмотическое давление, т.е. эквимолярные растворы неэлектролитов изотоничны (аналогия с законом Авогадро).

Вант-Гоффом был предложен объединенный закон для осмотического давления в растворах (аналогично объединенного газовому закону Менделеева-Клайперона): Осмотическое давление разбавленных растворов неэлектролитов прямо пропорционально молярной концентрации, коэффициенту пропорциональности и абсолютной температуре:

так как с=n/V, где n – число молей неэлектролита, а V – объем раствора, то или

 







Date: 2015-09-17; view: 930; Нарушение авторских прав



mydocx.ru - 2015-2026 year. (0.615 sec.) Все материалы представленные на сайте исключительно с целью ознакомления читателями и не преследуют коммерческих целей или нарушение авторских прав - Пожаловаться на публикацию