Главная Случайная страница


Полезное:

Как сделать разговор полезным и приятным Как сделать объемную звезду своими руками Как сделать то, что делать не хочется? Как сделать погремушку Как сделать так чтобы женщины сами знакомились с вами Как сделать идею коммерческой Как сделать хорошую растяжку ног? Как сделать наш разум здоровым? Как сделать, чтобы люди обманывали меньше Вопрос 4. Как сделать так, чтобы вас уважали и ценили? Как сделать лучше себе и другим людям Как сделать свидание интересным?


Категории:

АрхитектураАстрономияБиологияГеографияГеологияИнформатикаИскусствоИсторияКулинарияКультураМаркетингМатематикаМедицинаМенеджментОхрана трудаПравоПроизводствоПсихологияРелигияСоциологияСпортТехникаФизикаФилософияХимияЭкологияЭкономикаЭлектроника






Расчёт судо-часовых показателей всех эксплуатационных расходов судов транспортного флота





Судо-часовые показатели всех эксплуатационных расходов для самоходных судов определяются в зависимости от режима их работы: на ходу и стоянке:

 

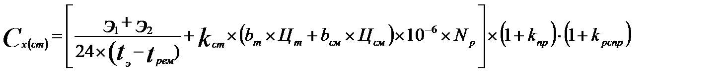
, (14)

 

где - судо-часовой показатель всех эксплуатационных расходов, соответственно на ходу и на стоянке, руб/судо-час;

- эксплуатационные расходы на оплату труда плавсостава и социальные нужды, руб;

- эксплуатационные расходы на амортизацию и ремонт судов, износ малоценного инвентаря и быстроизнашивающихся предметов, руб;

- плановая продолжительность слипования, докования, технического обслуживания и ремонта, ч;

- коэффициент, учитывающий уменьшение нормы расхода топлива и смазки на стоянке, по сравнению с движением (на ходу =1; на стоянке =0,03-0,15);

=40000 и =37000 - цена топлива и смазки, руб/т;

, ­удельный эффективный расход топлива и смазки по главному

двигателю, гр*л.с/ч; (т/сутки).

- эксплуатационный период (принимается равным продолжительности физической навигации в пункте зимнего отстоя), сут;

- коэффициент, учитывающий прочие прямые расходы;

- коэффициент, учитывающий распределяемые расходы.

где - коэффициент учитывающий соотношение продолжительности планового навигационного ремонта и эксплуатационного периода.

Для несамоходных судов судо-часовой показатель эксплуатационных расходов рассчитывается как средний за час эксплуатации:

 

(15)

 

Здесь буквенные обозначения те же, что и в предыдущей формуле, со штрихом – тоннаж. Значение коэффициентов и некоторых величин можно принять по таблице 11.

 

Таблица 10 – Значение коэффициентов

Тип флота
Грузовые теплоходы 0,06 0,010-0,015 0,2-0,3
Буксирные суда 0,05 0,010-0,015 0,2-0,3
Несамоходные суда 0,01 0,010-0,015 0,2-0,3

 

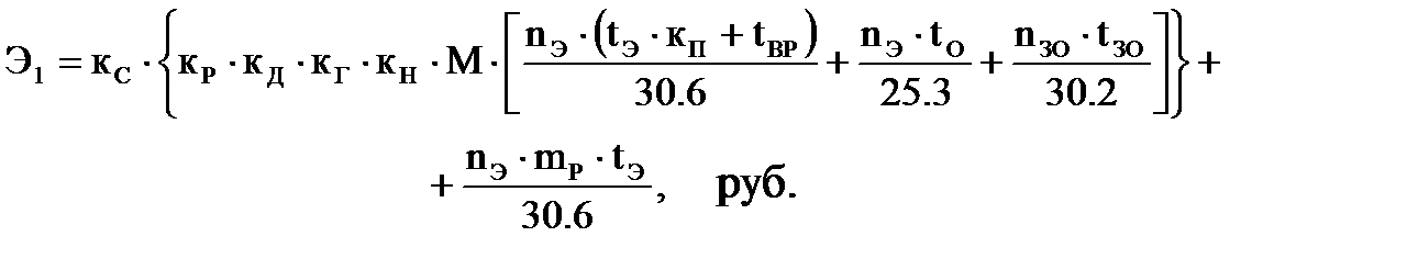
Расходы на заработную плату судовых экипажей и отчисления на

социальные нужды определяются исходя из выражения:

 

(16)

где кс­коэффициент, учитывающий отчисления на социальные нужды,

кс=1,262;

кр­коэффициент, учитывающий районное регулирование оплаты труда, (по району плавания); кр =2,0

кд­коэффициент, учитывающий дополнительную зарплату, кд=1,15;

кг­коэффициент, учитывающий группу судна по оплате труда плавсостава; для 292, 07521, 0225, кг =1,7.

кн­коэффициент, учитывающий все виды надбавок, доплат и льгот плавсоставу; кн =1,38;

кп­коэффициент, учитывающий премирование плавсостава за выполнение производственных заданий, кп =1,20;

n , n ­штатный норматив по судну для эксплуатационного периода и зимнего отстоя; для проекта 292, 07521, 0225, значения равны: n =12, n =2,5;

tэ, tвр, tзо­продолжительность эксплуатационного периода, технического вооружения и разоружения судна и его зимнего отстоя, соответственно, сут.

(tэ + tвр + tзо = 365) (17)

где tэ =90 сут, tвр =14 сут, tзо =261 на реке Лена

 

mр­месячный норматив рациона коллективного питания, 6300 руб/чел;

М­ минимальной размер оплаты труда (МРОП) - 5965 руб./чел.;

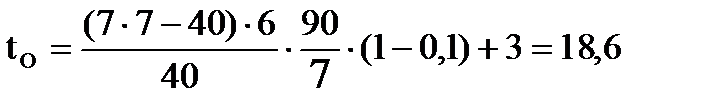
t ­количество дней оплачиваемых отгулов, за работу сверх нормативной продолжительности рабочей недели и в праздничные дни.

Количество отгулов можно рассчитать, в зависимости от несения вахт на судне, по выражению:

, сут (18)

где tВ –продолжительность вахты на судне в сутки для основных членов плавсостава, час. Значение tВ зависит от штата работников на судне и составляет 7 часов в сутки при штате в эксплуатационный период 9 и более человек;

k н – коэффициент, учитывающий возможность предоставления отгулов в навигационный период, k н = 0,10;

b ­ количество праздничных дней по календарю, приходящихся на навигационный период, b =3 сут;

 

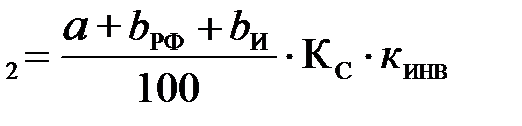
Расходы на амортизацию и ремонт судна, износ МЦБИ и прочие материалы можно определить по выражению:

 

Э , руб. (19)

 

где а ­ норма амортизации на полное восстановление рассматриваемого типа судна, для судов проекта 292, 0225, а =4 %; для буксиров пр. 07521 α=3%; для барж проекта 16801МБ, α=3,9

b ­норматив на ремонт судна, износ МЦБИ и прочие материалы, для судов проекта 292, 07521, 0225, b рф = 2,7 %, bи= 0,2 %; для барж 16801МБ, b рф = 3 %.

- расчетная стоимость судна. Для существующих типов судов допускается использовать в расчетах их балансовую стоимость после переоценки по материалам пароходств и предприятий.

­коэффициент, учитывающий расходы на амортизацию и ремонт ценного судового инвентаря, 1,2.

 

Расчет судо – часовых показателей для судна проекта 292.


 

сут.

Э = 4305600 руб.

= 5,4 сут.

= 23000,5 руб./ч.

= 5434,5 руб./ч.

 

Расчет судо – часовых показателей для судна проекта 0225.

 

сут.

Э = 1555200 руб.

= 5,4 сут.

= 21290,3 руб./ч.

= 3724,4 руб./ч.

Расчет судо-часовых показателей для буксира пр. 07521 с двумя баржами проекта 16801МБ:

сут.

Э = 1670880 руб.

= 5,4 сут.

= 17172,3 руб./ч.

= 2959,04 руб./ч.

 

Рассчитываем судо-часовые показатели для баржи проекта 16801МБ:

Э = 1240260 руб.

= 0,9 сут.

= 765,3 руб./ч.

 

Таблица 11 - Экономические показатели по типам судов

Показатель Единица измерения Значение по типам судов
Номер проекта - 16801МБ 292 0225 07521
Стоимость судна руб.        
Режим несения вахт час.        
Эксплуатационный период сут.        
Норма амортизации % 3,9      
Норматив на ремонт судна %       2,7
Норматив на износ МЦБИ % 0,1 0,2 0,2 0,2
Оплата труда плавсостава и коллективное питание руб.   1619632,94 1619632,94 1619632,94
Амортизация и ремонт судна руб.        
Судо-часовой показатель всех расходов по судну:   - на ходу - на стоянке руб./ч.       23000,5 5434,5     21290,3 3724,4     17172,3 2959,04

 

 







Date: 2015-09-05; view: 2169; Нарушение авторских прав



mydocx.ru - 2015-2026 year. (0.335 sec.) Все материалы представленные на сайте исключительно с целью ознакомления читателями и не преследуют коммерческих целей или нарушение авторских прав - Пожаловаться на публикацию