Главная Случайная страница


Полезное:

Как сделать разговор полезным и приятным Как сделать объемную звезду своими руками Как сделать то, что делать не хочется? Как сделать погремушку Как сделать так чтобы женщины сами знакомились с вами Как сделать идею коммерческой Как сделать хорошую растяжку ног? Как сделать наш разум здоровым? Как сделать, чтобы люди обманывали меньше Вопрос 4. Как сделать так, чтобы вас уважали и ценили? Как сделать лучше себе и другим людям Как сделать свидание интересным?


Категории:

АрхитектураАстрономияБиологияГеографияГеологияИнформатикаИскусствоИсторияКулинарияКультураМаркетингМатематикаМедицинаМенеджментОхрана трудаПравоПроизводствоПсихологияРелигияСоциологияСпортТехникаФизикаФилософияХимияЭкологияЭкономикаЭлектроника






Криволинейная замедленная коммутация





Период коммутации в современных машинах постоянного тока весьма мал и составляет приблизительно 10-3 -10-5c. При этом средняя скорость изменения тока в коммутирующей секции (di/dt)ср = 2ia/Tк очень велика, что приводит к появлению в коммутирующей секции ЭДС самоиндукции

eL=-Lc (di/dt), (27.5)

где Lc — индуктивность секции; секции; i — ток в коммутирующей

 

(27.6)

Рис. 27.3. Магнитная связь одновременно коммутирую­щих секций:

а — при полном шаге (y1 = τ); б—при укороченном шаге об­мотки якоря (у1<τ)

Обычно в каждом пазу якоря находится несколько пазовых сторон (не менее двух), принадлежа­щих разным секциям. При этом если шаг обмотки полный (y1 = τ), то все эти секции одновременно находятся в со­стоянии коммутации, будучи замкну­тыми разными щетками (рис. 27.3, а). Обычно ширина щетки больше коллек­торного деления и каждая щетка замы­кает одновременно несколько секций. Так как пазовые части коммутирующих секций лежат в одних пазах, то изме­няющийся магнитный поток каждой из этих частей наводит в пазовых частях других секций ЭДС взаимоиндукции

еM= -Mc(di/dt),

 

где Мс — взаимная индуктивность од­новременно коммутирующих секций.

Обе ЭДС создают в коммутирую­щей секции реактивную (результирую­щую) ЭДС

eр = eL + еM= — (Lc + Мс) (di/dt), (27.7)

которая препятствует изменению тока в коммутирующей секции. Кроме того, под влиянием реакции якоря магнитная индукция в зоне коммутации (на геометрической нейтрали) при­обретает некоторое значение Вк (см. рис. 26.4, в), под действием которой в коммутирующей секции наводится ЭДС вращения

eвр= Вк2lωсυ, (27.8)

где I — длина пазовых частей секции; ωс — число витков в сек­ции; υ— линейная скорость движения секции.

Электродвижущая сила вращения в отличие от реактивной ЭДС может иметь разное направление в зависимости от поляр­ности внешнего магнитного поля в зоне коммутации. Если маши­на не имеет добавочных полюсов, то ЭДС вращения направлена согласованно с реактивной ЭДС. В этом случае в контуре коммути­рующей секции действует сумма ЭДС

∑е = ер + евр. (27.9)

С учетом изложенного уравнение по второму закону Кирхго­фа для коммутирующей секции замкнутой щеткой имеет вид

i1r1 - i2r2 = 2е, (27.10)

или с учетом (27.3) запишем выражение тока в коммутирующей секции при криволинейной замедленной коммутации:

i = [ia(r2 – r1)/(r2 + r1)] + [∑e/(r2 + г1)]. (27.11)

Первое слагаемое правой части полученного выражения пред­ставляет собой ток прямолинейной коммутации [см. (27.3)]

iпр =ia(r2 – r1)/(r2 + r1) (27.12)

Второе слагаемое правой части выражения (27.11) опреде­ляет значение до полни тел ь н ого тока коммута­ции, возникающего в контуре коммутирующей секции под дей­ствием ЭДС ∑е:

iд = ∑е/(r2 + r1),. (27.13)

Таким образом, ток в коммутирующей секции при криволи­нейной замедленной коммутации равен сумме двух составля­ющих:

i=iпр+ iд. (27.14)

Характер изменения тока iпр определяется графиком, пока­занным на рис. 27.2. Что же касается дополнительного тока коммутации iд, то для определения характера его изменения за период коммутации необходимо предварительно выяснить, как меняются за период коммутации величины, определяющие этот ток, а именно ЭДС 2е и сумма сопротивлений (r2 + r1)/

Если в машине нет добавочных полюсов и магнитная индукция в зоне коммутации Bк невелика, то ЭДС ∑e определяется главным образом реактивной ЭДС ep= -(Lc+Mc)(di/dt). При прямолинейном законе изменения тока di/dt = const, а следова­тельно, ∑е = const.

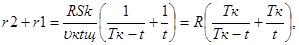
Закон изменения суммы сопротивлений (r1+r2) определяется выражением

(27.15)

 

где R — сопротивление переходного контакта «щетка-пластина», когда пластина коллектора полностью перекрыта щеткой и пло­щадь ее переходного контакта равна SK.

Рис. 27.4. Графики измене­ний сопротивлений (i1 + i2) и тока iд

В начале (t = 0) и в. конце (t = Тк) коммутации r2 + r1 = ∞; при t = 0,5 Тк сумма сопротивлений r2+r1 ==4R. На рис. 27.4, а представлен график (r2 + r1) = f(t). Этому закону, изменения суммы сопротивлений и постоянству ЭДС ∑е соответствует кривая 1 изменения добавочного тока коммута­ции iд — f(t), представленная на рис. 27.4, б.

График изменения результирующего тока коммутации i = iпp +iд = f(t), полу­ченный сложением ординат графиков тока прямолинейной коммутации iпр= f{t) (см. рис. 27.2) и добавочного тока коммутации ia = f(t) (см. рис.б, график 1), представлен на рис.


Криволинейный вид этого графика обусловлен криволинейностью графика ia = f(t). Физически это объясняется реактивным действием суммарной ЭДС наводимой в коммутирующей сек­ции, препятствующим изменениям тока в этой секции от +iа в начале комму­тации до —ia в ее конце. По этой при­чине в середине периода коммутации (точка а) ток в коммутирующей секции ia = iд, т. е. он не равен нулю, как это имело место при прямолиней­ной коммутации (см. рис. 27.2), а равен добавочному току комму­тации iд, который в этот момент времени (t = 0,5Tк) имеет наи­большее значение (см. рис. 27.4, б, график 1). Уменьшение тока ia до нуля и изменение его направления наступают во второй поло­вине периода коммутации в момент времени t>0,5ГК (точка b), т. е. по сравнению с прямолинейной в рассматриваемом виде ком­мутации процесс изменения направления тока в коммутирующей секции затягивается во времени. В итоге график коммутации при­обретает криволинейный вид. По этой причине такую коммутацию называют криволинейной замедленной. Характерный признак этого вида коммутации — неодинаковая плотность тока под щет­кой в начале и в конце периода коммутации.

В этом можно убедиться, воспользовавшись построениями, сделанными на рис. 27.5, для момента времени t = 0,5Tк.


Среднее значение плотности тока под набегающим краем щет­ки j2, имеющим контакт с пластиной 2 (рис. 27.6,а), меньше средне­го значения плотности тока j1 под сбегающим краем щетки, имеющим контакт с пластиной 1. С одной стороны, это объясняется тем, что tga2<tgai1(см. рис. 27.5), а с другой стороны, тем, что при t = 0,5 Тк токи, отходящие в обмотку якоря через пластины 1 и 2, не равны: i2<i1. При криволинейной замедленной коммутации площадь S1 соприкосновения пластины 1 с щеткой уменьшается быстрее, чем ток i1=ia+iд, а поэтому плотность тока под сбегаю­щим краем щетки повышается. К концу периода коммутации эта плотность тока достигает наибольшего значения j= tgα´1, где α´1соответствует t≈Tк (см. рис. 27.5).

При значительных нагрузках машины плотность тока под сбегающим краем щетки может достигнуть недопустимо больших значений и вызвать искрение на коллекторе. Однако, как показывает опыт, возможно появление искрения и при небольших нагрузочных токах в цепи якоря. Это свидетельствует о том, что увеличение плотности тока под сбегающим краем щетки не единственная причина искрение на коллекторе. Искрение возникает так же при размыкании замкнутой накоротко щеткой цепи коммутирующей секции при выходе сбегающей пластины коллектора из- под щетки. В момент размыкания коммутирующей секции с добавочным током коммутации накопленная в ней энергия магнитного поля (Дж)

W = 0,5Lci2д (27.16)

 

Рис. 27.5. График тока криволи­нейной замедленной коммутации

 

затрачивается на создание электрической дуги между сбегающим краем щетки и сбегающей коллекторной пластиной.

Рис. 27.6. Распределение плотности тока под щеткой при криво­линейной замедленной (а) и ускоренной (б) видах коммутации

Изложенные выше свойства криволинейной замедленной ком­мутации — повышение плотности тока под сбегающим краем щетки и выход сбегающей пластины из-под щетки с разрывом цепи тока коммутации — создают условия к возникновению искрения на коллекторе под сбегающими краями щеток.







Date: 2015-09-05; view: 1300; Нарушение авторских прав



mydocx.ru - 2015-2026 year. (0.871 sec.) Все материалы представленные на сайте исключительно с целью ознакомления читателями и не преследуют коммерческих целей или нарушение авторских прав - Пожаловаться на публикацию