Главная Случайная страница


Полезное:

Как сделать разговор полезным и приятным Как сделать объемную звезду своими руками Как сделать то, что делать не хочется? Как сделать погремушку Как сделать так чтобы женщины сами знакомились с вами Как сделать идею коммерческой Как сделать хорошую растяжку ног? Как сделать наш разум здоровым? Как сделать, чтобы люди обманывали меньше Вопрос 4. Как сделать так, чтобы вас уважали и ценили? Как сделать лучше себе и другим людям Как сделать свидание интересным?


Категории:

АрхитектураАстрономияБиологияГеографияГеологияИнформатикаИскусствоИсторияКулинарияКультураМаркетингМатематикаМедицинаМенеджментОхрана трудаПравоПроизводствоПсихологияРелигияСоциологияСпортТехникаФизикаФилософияХимияЭкологияЭкономикаЭлектроника






Задание №14





Всего – заданий 124

Всего - прототипов 13.

1. Каким уравнением задается прямая, проходящая через точки A и B ?

Варианты ответа

1.   2.   3.   4.  

 

 

16. На координатной плоскости отмечены точки C и D. Какое уравнение задает прямую, проходящую через эти точки?

Варианты ответа

1.   2.   3.   4.  

 

 

21. На координатной плоскости отмечены точки C и D. Какое уравнение задает прямую, проходящую через эти точки?

Варианты ответа

1.   2.   3.   4.  

 

 

31. В какой координатной четверти находится точка пересечения прямых и ?

Варианты ответа

1. В I четверти   2. В II четверти   3. В III четверти   4. В IV четверти  

 

 

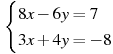
41. Решите систему уравнений .

 

66. Вычислите координаты точки пересечения прямых и .

 

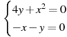
91. Решите систему уравнений .

 

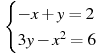
101. Решите систему уравнений .

 

106. Вычислите координаты точек пересечения параболы и прямой .

 

106.На координатной плоскости построены графики уравнений и . Используя эти графики, решите систему уравнений .

 

116. На координатной плоскости построены графики уравнений и . Используя эти графики, решите систему уравнений .

 

120.Окружность, изображенная на рисунке, задается уравнением , а прямая — уравнением . Вычислите координаты точки .

 

120.На рисунке изображены графики функций и . Вычислите координаты точки .

 

Уважаемый пользователь, содержание заданий файлов (Задание 1-Задание18) отражает самую полную версию Открытого банка задач ГИА по математике 2012 года. Срок формирования последнего файла –14 декабря 2011 года. На первой странице каждого файла указано количество отсортированных типовых заданий и прототипов, что соответствует количеству заданий, содержащихся в Открытом банке задач ГИА по математике 2012 года по состоянию на 14 декабря 2011 года. Если при работе с данными файлами Вам необходимо закрепить навык по какому-либо Заданию 1 (Заданию 2, Заданию 3,…), т.е. прорешать подобные, достаточно войти в Интернет на сайт math HYPERLINK "http://mathgia.ru/"gia HYPERLINK "http://mathgia.ru/".ru:8080or/ gia 12/ В верхней части открывшейся интернет-страницы войдите в ссылку «Каталог по заданиям», далее войдите в ссылку «посмотреть аналогичные задания» интересующего Вас Задания 1 (Задания 2, Задания 3,…). Во вновь появившейся интернет - странице в верхней строке «просмотр выбранных заданий» в окошечко впишите порядковое число, присвоенное данному заданию в файле (оно указано вначале каждого задания), «клюкнуть» мышкой в пространстве вне окна – на экране появятся подобные задания.

Успехов Вам в освоении заданий ГИА!







Date: 2015-09-05; view: 497; Нарушение авторских прав



mydocx.ru - 2015-2026 year. (2.999 sec.) Все материалы представленные на сайте исключительно с целью ознакомления читателями и не преследуют коммерческих целей или нарушение авторских прав - Пожаловаться на публикацию