Главная Случайная страница


Полезное:

Как сделать разговор полезным и приятным Как сделать объемную звезду своими руками Как сделать то, что делать не хочется? Как сделать погремушку Как сделать так чтобы женщины сами знакомились с вами Как сделать идею коммерческой Как сделать хорошую растяжку ног? Как сделать наш разум здоровым? Как сделать, чтобы люди обманывали меньше Вопрос 4. Как сделать так, чтобы вас уважали и ценили? Как сделать лучше себе и другим людям Как сделать свидание интересным?


Категории:

АрхитектураАстрономияБиологияГеографияГеологияИнформатикаИскусствоИсторияКулинарияКультураМаркетингМатематикаМедицинаМенеджментОхрана трудаПравоПроизводствоПсихологияРелигияСоциологияСпортТехникаФизикаФилософияХимияЭкологияЭкономикаЭлектроника






Задание №10





Всего – заданий 292

Всего - прототипов 22.

1. В какое из следующих выражений можно преобразовать произведение ?

Варианты ответа

1.   2.   3.   4.  

 

 

26-36. 136-146. Упростите выражение .

Варианты ответа

1.   2.   3.   4.  

 

 

41. В выражении вынесли за скобки множитель . В каком случае преобразование выполнено верно?

Варианты ответа

1.   2.   3.   4.  

 

 

46. В выражении вынесли за скобки множитель . В каком случае преобразование выполнено верно?

Варианты ответа

1.   2.   3.   4.  

 

 

66. Какой из следующих квадратных трехчленов нельзя разложить на множители?

Варианты ответа

1.   2.   3.   4.  

 

 

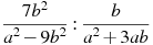
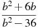
91. Сократите дробь .

Варианты ответа

1.   2.   3.   4.  

 

 

111. Сократите дробь .

Варианты ответа

1.   2.   3.   4.  

 

 

111-130. Укажите выражение, тождественно равное дроби .

Варианты ответа

1.   2.   3.   4.  

 

 

146. Преобразуйте в многочлен выражение .

 

161. Упростите выражение .

 

176-181. Найдите второй двучлен в разложении на множители квадратного трехчлена: .

 

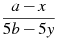
186. Сократите дробь .

 

191.Выполните деление .

 

201. Выполните деление .

 

211. Выполните умножение .

 

221. Выполните умножение .

 

231. Найдите разность .

 

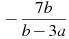
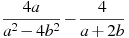
241. Упростите выражение .

 

251. Найдите разность .

 

261. Упростите выражение .

 

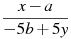
271. Упростите выражение .

 

276. Упростите выражение .

 

286-292. Упростите выражение .

 

Уважаемый пользователь, содержание заданий файлов (Задание 1-Задание18) отражает самую полную версию Открытого банка задач ГИА по математике 2012 года. Срок формирования последнего файла –14 декабря 2011 года. На первой странице каждого файла указано количество отсортированных типовых заданий и прототипов, что соответствует количеству заданий, содержащихся в Открытом банке задач ГИА по математике 2012 года по состоянию на 14 декабря 2011 года. Если при работе с данными файлами Вам необходимо закрепить навык по какому-либо Заданию 1 (Заданию 2, Заданию 3,…), т.е. прорешать подобные, достаточно войти в Интернет на сайт math HYPERLINK "http://mathgia.ru/"gia HYPERLINK "http://mathgia.ru/".ru:8080or/ gia 12/ В верхней части открывшейся интернет-страницы войдите в ссылку «Каталог по заданиям», далее войдите в ссылку «посмотреть аналогичные задания» интересующего Вас Задания 1 (Задания 2, Задания 3,…). Во вновь появившейся интернет - странице в верхней строке «просмотр выбранных заданий» в окошечко впишите порядковое число, присвоенное данному заданию в файле (оно указано вначале каждого задания), «клюкнуть» мышкой в пространстве вне окна – на экране появятся подобные задания.

Успехов Вам в освоении заданий ГИА!







Date: 2015-09-05; view: 534; Нарушение авторских прав



mydocx.ru - 2015-2026 year. (1.171 sec.) Все материалы представленные на сайте исключительно с целью ознакомления читателями и не преследуют коммерческих целей или нарушение авторских прав - Пожаловаться на публикацию