Главная Случайная страница


Полезное:

Как сделать разговор полезным и приятным Как сделать объемную звезду своими руками Как сделать то, что делать не хочется? Как сделать погремушку Как сделать так чтобы женщины сами знакомились с вами Как сделать идею коммерческой Как сделать хорошую растяжку ног? Как сделать наш разум здоровым? Как сделать, чтобы люди обманывали меньше Вопрос 4. Как сделать так, чтобы вас уважали и ценили? Как сделать лучше себе и другим людям Как сделать свидание интересным?


Категории:

АрхитектураАстрономияБиологияГеографияГеологияИнформатикаИскусствоИсторияКулинарияКультураМаркетингМатематикаМедицинаМенеджментОхрана трудаПравоПроизводствоПсихологияРелигияСоциологияСпортТехникаФизикаФилософияХимияЭкологияЭкономикаЭлектроника






Составить уравнение касательной к графику функции в указанной точке





1. Вычислить значение функции в точке касания - f(x0)

2. Найти производную данной функции и вычислить ее значение в точке касания – f ̍(x)→ f ̍(x0)

3. Подставить найденные значения в уравнение касательной и нормали.

yк = f(x0) + f ̍(x0) · (x – x0) – уравнение касательной; yн = f(x0) - · (x – x0) – уравнение нормали

 

 

Геометрический смысл производной.

Геометрический смысл производной состоит в том, что значение производной функции в точке равно угловому коэффициенту (тангенсу угла наклона) касательной к графику функции в этой точке.

F ̍ (x) = tg α = k, где k – угловой коэффициент

Физический смысл производной.

S’(t)=V

S”(t)=a;(V’=a)


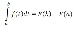
Интеграл и его применение

– одна из первообразных функции .

Таблица первообразных

 

 

Формула замены переменной

 

Формула Ньютона-Лейбница

 







Date: 2015-09-05; view: 862; Нарушение авторских прав



mydocx.ru - 2015-2026 year. (1.016 sec.) Все материалы представленные на сайте исключительно с целью ознакомления читателями и не преследуют коммерческих целей или нарушение авторских прав - Пожаловаться на публикацию