Главная Случайная страница


Полезное:

Как сделать разговор полезным и приятным Как сделать объемную звезду своими руками Как сделать то, что делать не хочется? Как сделать погремушку Как сделать так чтобы женщины сами знакомились с вами Как сделать идею коммерческой Как сделать хорошую растяжку ног? Как сделать наш разум здоровым? Как сделать, чтобы люди обманывали меньше Вопрос 4. Как сделать так, чтобы вас уважали и ценили? Как сделать лучше себе и другим людям Как сделать свидание интересным?


Категории:

АрхитектураАстрономияБиологияГеографияГеологияИнформатикаИскусствоИсторияКулинарияКультураМаркетингМатематикаМедицинаМенеджментОхрана трудаПравоПроизводствоПсихологияРелигияСоциологияСпортТехникаФизикаФилософияХимияЭкологияЭкономикаЭлектроника






Источники ошибок угловых измерений





 

Ошибки угловых измерений — случайные и систематические - делят на три группы: личные, приборные и из-за влияния внешней среды. Наиболее трудно устранить систематические ошибки, поэтому их необходимо тщательно изучать и сводить к минимуму путем введения поправок или соответствующей организации измерений. Влияние случайных ошибок ослабляют, увеличивая число приемов измерений до определенной величины.

Личные ошибки измерений возникают из-за несовершенства системы наблюдатель — прибор. К личным можно отнести случайные и систематические ошибки визирования, случайные ошибки совмещения изображений штрихов лимба и отсчитывания по шкале оптического микрометра; систематические ошибки из-за неодинаковой освещенности штрихов лимба, ошибки отсчета по накладному уровню, позволяющему определять поправки в направлении за наклон вертикальной оси теодолита.

Приборные ошибки возникают из-за неточного изготовления узлов и деталей теодолита, остаточных погрешностей его регулировки и юстировки «т. п. К приборным относят ошибки из-за различия номинальной и фактической цен делений окулярного и отсчетного микрометров, погрешности хода фокусирующей линзы зрительной трубы, эксцентриситет лимба и алидады, ошибки диаметров лимба, коллимационные ошибки, ошибки из-за наклона оси вращения трубы, вертикальной оси теодолита, лимба, ошибки вследствие температурных деформаций узлов теодолита и др.

Ошибки из-за влияния внешней среды являются наиболее существенным источником систематических ошибок при угловых измерениях. В первую очередь к ним относят оптическую рефракцию, которая, если не принять мер по ее учету, лимитирует дальнейшее повышение точности угловых измерений. К этой группе относят ошибки из-за кручения и гнутия геодезических сигналов и др.

При измерении горизонтальных углов теодолитом приборные ошибки обычно исключают из конечного результата путем использования специальной методики. Например, ошибки, возникающие вследствие коллимационной ошибки, неперпендикулярности оси вращения трубы к вертикальной оси вращения теодолита исключаются, если определять среднее из отсчетов при круге лево и право; влияние эксцентриситета исключается при совмещении противоположных штрихов лимба или если вычислять среднее из отсчетов по двум верньерам. Ошибки центрирования и установки визирных целей можно свести к минимуму при достаточной длине сторон и тщательной установкой прибора и визирных целей. Ошибки наведения на визирные цели при увеличении зрительной трубы 20х не превышают 3-4", при измерении углов техническим теодолитом ими можно пренебречь.

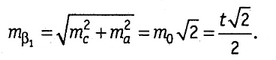
Наиболее существенной является ошибка отсчитывания по лимбу, величина которой m 0 = t /2, где t — точность отсчетного устройства. Так как угол в полуприеме β i = с - а, то при m с = m а = m 0

(1.75)

Угол в приеме β = 0,5(β1 + β2), где β1 и β2 — значение углов, полученных в первом и втором полуприемах. При mβ1 = mβ2 = mβi с учетом (1.75) значение средней квадратической ошибки измерения угла одним приемом

 

 

28. измерение горизонтальных и вертикальных углов теоделитом

 

 

Измерение горизонтальных углов.
При измерении горизонтальных углов применяют способы круговых приёмов или повторений. Теодолит устанавливают в вершине угла и приводят его в рабочее положение. Направление сторон угла, если измерения выполняются на дневной поверхности, обозначаются вехами. В подземных условиях стороны обозначаются отвесами или специальными сигналами.
Установка теодолита в рабочее положение состоит из двух операций: центрирование и горизонтирование.
Центрирование заключается в размещении вертикальной оси теодолита над вершиной угла (точкой) и осуществляется при помощи отвеса. Теодолит устанавливают над точкой так, чтобы верхняя плоскость головки штатива была горизонтальна, остриё отвеса проектировалось на точку. Современные теодолиты оснащены оптическими центрирами, которые облегчают центрирование, особенно при сильном ветре, и повышают точность.
Горизонтирование же заключается в приведении вертикальной оси теодолита в отвесное положение. Для этого устанавливают уровень при алидаде горизонтального круга по направлению 2-х подъемных винтов и, вращая их выводят пузырёк уровня на середину; открепив алидаду, устанавливают уровень по направлению 3-го винта и вращением последнего снова выводят пузырёк на середину.
Способ приёмов. При неподвижном лимбе вращения алидады визируют на заднюю точку А (см. рис. 1). Вначале по оптическому визиру зрительную трубу наводят от руки, пока визируемая цель не попадёт в поле зрения. Затем закрепляют винты алидады и зрительной трубы, и отфокусировав трубу по предмету, выполняют визирование с помощью наводящих винтов и алидады и трубы горизонтального круга. Затем берут отсчёт a по горизонтальному кругу и записывают его в журнал измерений(табл. 1)
Открепив алидаду, визируют на переднюю точку С и берут отсчёт b. Тогда значение правого на ходу угла (, определяется как разность отсчетов на заднюю и переднюю точку:
(кл=a-b Все эти действия составляют один полуприём. Затем сбивают алидаду на 90О и поворачивают на туже точку. Вычисляют значение ((кп
Два полуприёма составляют один полный приём. Расхождения результатов не должно превышать двойной точности отстчётного устройства теодолита, т.е.
(кл((кп(2t
Для теодолитов Т15, 2Т30расхождение не превышает 0,7 мин. Или 1,5 мин для теодолитов Т30.За окончательный результат принимают среднее значение угла.



Измерение и вычисление левого по ходу горизонтального угла(см. рис. 1), производится по аналогично последовательности (таб. 1), с той лишь разницей, что левый по ходу угол в каждом полуприёме рассчитывается как разность отсчётов на переднюю и заднюю точки.

 


Измерение вертикальных углов.
В теодолитах для измерения углов наклона - вертикальных углов, между направлениями визирной оси зрительной трубы и горизонтальной плоскостью- используется угломерный круг, жёсткой укреплённый на оси вращения зрительной трубы. На внешней части угломерного круга нанесены деления лимба, оцифровка которых отличается в различных моделях теодолита.
Зрительная труба переворачивается через зенит. В связи с этим вертикальный круг может оказаться справа от неё, это положение называется круг право (КП), и слева (КЛ).
Главное условие, которое должно соблюдаться в вертикальном круге, заключается в том, чтобы при совмещении нуля верньера с нулевыми шкалами вертикального круга визирная ось зрительной трубы ZZ была параллельно оси цилиндрического уровня LL. При соблюдении этого условия отсчёт по лимбу вертикального круга даёт непосредственное значение угла наклона вертикальной оси зрительной трубы. Если же ось уровня не || нулевому диаметру алидады, то при горизонтальном положении визирной оси, зрительной трубы и оси уровня нуль лимба не совпадает с нулём верньера, т.е. отсчёт по вертикальному кругу не равен нулю.
Отсчёт по вертикальному кругу, соответствующий горизонтальному положению визирной оси зрительной трубы, когда пузырёк уровня выведен на середину, принято называть местом нуля, обозначается МО. Для определения значения МО визируем зрительную трубу при КП и КЛ на одну и ту же точку, и берут отсчёты по вертикальному кругу при каждом наведении трубы.
1. Для теодолитов с круговой оцифровкой вертикального круга против часовой стрелки (Т30) значения МО и углов наклона могут быть рассчитаны по формулам:

При вычислении надо руководствоваться правилом: к величинам КП,КЛ и МО, меньшим 90О, необходимо прибавлять 360О.
2. При секторной оцифровке лимба вертикального круга от нуля в обе стороны - по ходу и против хода часовой стрелки, т.е. для теодолитов 2Т30,Т15,2Е5 и др.
Вычисления МО и углов наклона можно выполнять по формулам.


При этом 360О добавлять не нужно.
Правильность измерений вертикальных углов на станции контролируется постоянством МО, колебания которые в процессе измерений не должны превышать двойной точности отсчётного устройства. Все отсчёты заносятся в журнал измерений.

 

 

29.Нивелирование. Методы нивелирования.

 

Нивелированием называются геодезические работы по измерению превышений, разности высот точек. Различают следующие методы нивелирования: геометрическое, тригонометрическое, гидростатическое, барометрическое, механическое, стереофотограмметрическое.

Геометрическое нивелирование производится горизонтальным визирным лучом, который получают чаще всего при помощи приборов, называемых нивелирами. Точность геометрического нивелирования характеризуется средней квадратической погрешностью нивелирования на 1 км двойного хода равной от 0.5 до 10.0 мм в зависимости от типа используемых приборов.

Тригонометрическое нивелирование предусматривает измерение расстояния и угла наклона, которые необходимы для вычисления превышения по тригонометрическим формулам. Точность определения превышения на станции зависит от погрешностей измерений угла и расстояния и обычно на один порядок (в 10 раз) меньше чем при геометрическом нивелировании.

Гидростатическое нивелирование основано на свойстве поверхности жидкости в сообщающихся сосудах устанавливаться на одной высоте. Этот метод применяют для выверки строительных конструкций по высоте в стесненных условиях, а также при наблюдениях за деформациями инженерных сооружений. Точность определения превышений достигает 0.1 - 1.0 мм.

Барометрическое нивелирование использует зависимость высот точек местности от величины атмосферного давления в этих точках. Наиболее точные барометры позволяют определять превышения с погрешностью 0.3 -0.5 м.

Радиолокационное нивелирование производят с летательных аппаратов посредством определения длины пути прохождения электромагнитных волн отраженных от земной поверхности.

Механическое нивелирование производят при помощи специального прибора, содержащего датчик углов наклона продольной оси транспортного средства относительно маятника, сохраняющего отвесное положение, и датчик пути. Погрешность такого нивелирования со скоростью 30 км/ч от 0.3 до 0.6 м на 1 км хода.

 







Date: 2015-09-19; view: 3210; Нарушение авторских прав



mydocx.ru - 2015-2026 year. (0.625 sec.) Все материалы представленные на сайте исключительно с целью ознакомления читателями и не преследуют коммерческих целей или нарушение авторских прав - Пожаловаться на публикацию