Главная Случайная страница


Полезное:

Как сделать разговор полезным и приятным Как сделать объемную звезду своими руками Как сделать то, что делать не хочется? Как сделать погремушку Как сделать так чтобы женщины сами знакомились с вами Как сделать идею коммерческой Как сделать хорошую растяжку ног? Как сделать наш разум здоровым? Как сделать, чтобы люди обманывали меньше Вопрос 4. Как сделать так, чтобы вас уважали и ценили? Как сделать лучше себе и другим людям Как сделать свидание интересным?


Категории:

АрхитектураАстрономияБиологияГеографияГеологияИнформатикаИскусствоИсторияКулинарияКультураМаркетингМатематикаМедицинаМенеджментОхрана трудаПравоПроизводствоПсихологияРелигияСоциологияСпортТехникаФизикаФилософияХимияЭкологияЭкономикаЭлектроника






Поток реальных денег от операционной деятельности, руб





Наименование показателя Значение показателя по годам производства
     
1. Использование производственной мощности      
2. Выручка 121 741 603 535 608 708 017 676 608 708 017 676
3. Внереализационные доходы      
4. Издержки производства 93 647 400 000 468 237 000 000 468 237 000 000
5. Прибыль до вычета налогов (2+3-4) 28 094 203 535 140 471 017 676 140 471 017 676
6. Налоги и отчисления 5 098 200 812 25 491 004 062 25 491 004 062
7. Чистая прибыль (5-6) 22 996 002 723 114 980 013 614 114 980 013 614
8. Амортизация 353 165 977 1 765 829 886 1 765 829 886
9. Чистый приток денег от текущей деятельности (7+8) 23 349 168 700 116 745 843 500 116 745 843 500

 

 

Поток реальных денег от финансовой деятельности

 

Потоки денежных средств от финансовой деятельности отражают поступления и платежи, связанные с изменением в размере и составе собственного капитала и заемных средств фирмы. Эти потоки включают в себя виды поступлений и оттока, представленные в таблице 12.

 

Таблица 12

Поток реальных денег от финансовой деятельности, руб.

Категория инвестиций Значение показателя по шагам расчета
Период освоения По годам производства
       
1.Собственный капитал 23 923 063 032      
2.Краткосрочные кредиты        
3.Долгосрочные кредиты 29 239 299 261      
4.Погашение кредитов   9 746 433 087 9 746 433 087 9 746 433 087
5.Проценты по кредитам   11 695 719 704 7 797 146 470 3 898 573 235
6.Выплата дивидендов   11 498 001 361 11 498 001 361 11 498 001 361
7.Чистый поток (1+2+3-4) 53 162 362 293 -9 746 433 087 -9 746 433 087 -9 746 433 087
8.Сальдо финансовой деятельности (7-5-6) 53 162 362 293 - 32 940 154 152 -29 041 580 918 -25 143 007 683

Расчет ставки дисконта для различных вариантов финансирования инвестиционного проекта

Для обеспечения сопоставимости текущих затрат и результатов их стоимость определяется на конкретную дату – обычно на начало расчетного периода путем дисконтирования. Дисконтирование – это метод приведения будущих поступлений денежных средств (будущих доходов) к текущей (сегодняшней, настоящей) стоимости. Дисконтирование будущих поступлений используется для того, чтобы определить их "стоимость" в настоящее время. Разница между будущей суммой доходов и их текущей стоимостью составляет цену, которой оцениваются неудобства, связанные с отказом от использования данной суммы в настоящее время.

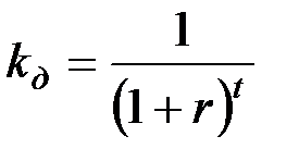
Процесс дисконтирования состоит в снижении стоимости планируемых затрат и результатов за все шаги расчета, отделяющие их от начала расчетного периода. За каждый шаг расчета величина показателя снижается пропорционально коэффициенту дисконтирования:

 

,(7.25)

 

где Кд –коэффициент дисконтирования;

r – ставка дисконта в долях единицы;

t – порядковый номер года, на который определяется норматив дисконтирования.

Доли акционерного капитала и заемных средств используются для расчета средневзвешенной стоимости капитала (СВСК) следующим образом:

 

, (7.26)

 

где СВСК – средневзвешенная стоимость капитала;

wкр, wакц – доля соответственно заемных средств и акционерного капитала;

rбкр, rакц – ставка платы за кредит и стоимость акций соответственно, в долях единицы.

 

Как показано в таблице 13, средневзвешенная ставка дисконта в этом случае составит для условий примера 26,5%.

Таблица 13







Date: 2015-09-18; view: 477; Нарушение авторских прав



mydocx.ru - 2015-2026 year. (0.863 sec.) Все материалы представленные на сайте исключительно с целью ознакомления читателями и не преследуют коммерческих целей или нарушение авторских прав - Пожаловаться на публикацию