Главная Случайная страница


Полезное:

Как сделать разговор полезным и приятным Как сделать объемную звезду своими руками Как сделать то, что делать не хочется? Как сделать погремушку Как сделать так чтобы женщины сами знакомились с вами Как сделать идею коммерческой Как сделать хорошую растяжку ног? Как сделать наш разум здоровым? Как сделать, чтобы люди обманывали меньше Вопрос 4. Как сделать так, чтобы вас уважали и ценили? Как сделать лучше себе и другим людям Как сделать свидание интересным?


Категории:

АрхитектураАстрономияБиологияГеографияГеологияИнформатикаИскусствоИсторияКулинарияКультураМаркетингМатематикаМедицинаМенеджментОхрана трудаПравоПроизводствоПсихологияРелигияСоциологияСпортТехникаФизикаФилософияХимияЭкологияЭкономикаЭлектроника






Расчетно - графическое задание №2





ПЛОСКОЕ ДВИЖЕНИЕ ТВЕРДОГО ТЕЛА

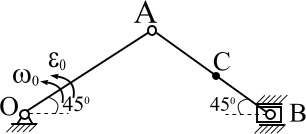
Задача 1. Кинематический анализ плоского механизма

 

Для заданного положения механизма найти:

 

· скорости точек А, В, С;

· ускорение точек А, В, С;

· угловое ускорение звена, которому принадлежат точки А, В, С.

 

Схемы механизмов показаны в табл. 8, необходимые для расчета данные приведены в табл. 7.

 

Таблица 7

№ варианта Размеры, см wO, c-1 eo, c-2 uA, см/с аА, см/с2
ОА r АВ АС
                 
                 
                 
                 
                 
                 
                 
                 
                 
                 
                 

Продолжение табл. 7

                 
                 
                 
                 
                 
                 
                 
                 
                 
                 
                 
                 
                 
                 
                 
                 
                 
                 
                 
                 
                 

 

 

Таблица 8

1.   4.
2. 5.
3. 6.

Продолжение табл. 8

7. 10.
8. 11.
9. 12.

 

Продолжение табл. 8

13.   16.  
14.   17.  
15.   18.  

 

 

Продолжение табл. 8

19.   22.
20.   23.  
21.   24.    

 

Продолжение табл. 8

25.   28.
26. 29.
27. 30.

 

Задача 2. Кинематический анализ многозвенного механизма

 

Кривошип О 1 А вращается с постоянной угловой скоростью wО = 2 (с-1). Определить для заданного положения механизма:

 

· скорости точек А, В, С … механизма, используя основную теорему кинематики;

· скорости точек А, В, С … механизма и угловые скорости всех его звеньев с помощью мгновенного центра скоростей;

· сравнить полученные результаты;

· повторить исследования механизма для второго положения механизма , где - изменение заданного угла ;

· ускорение для точки В механизма для его первого положения аналитически и геометрически.

 

Схемы механизмов показаны в табл. 10, необходимые данные приведены в табл. 9.


Для выполнения и защиты данного задания необходимо усвоить 3, 4, 5, 7 пункты рабочей программы.

Для защиты данного задания необходимо решить следующие задачи из сборника задач [3]:

1. Плоско-параллельное движение твердого тела, уравнения движения: 15.1 – 15.5;

2. скорости точек при плоско-параллельном движении: 16.7, 16.11, 16.12, 16.15, 16.17, 16.22, 16.29 – 16.34;

3. ускорение точек твердого тела при плоско-параллельном движении; 18.9, 18.11, 18.13, 18.25.

 

 


Таблица 9

№ варианта Расстояние, см Длина звеньев, см
а в с d e O 1 A O 2 B O 2 D O 3 D O 3 F AB BC CD CE DE EF
                                     
                                     
                                     
                                     
                                     
                                     
                                     
                                     
                                     
                                     
                                     
                                     
                                     
                                     
                                     

 


Продолжение табл. 9

                                     
                                     
                                     
                                     
                                     
                                     
                                     
                                     
                                     
                                     
                                     
                                     
                                     
                                     
                                     
                                     
                                     

 









Date: 2015-09-03; view: 1198; Нарушение авторских прав



mydocx.ru - 2015-2026 year. (0.052 sec.) Все материалы представленные на сайте исключительно с целью ознакомления читателями и не преследуют коммерческих целей или нарушение авторских прав - Пожаловаться на публикацию