Главная Случайная страница


Полезное:

Как сделать разговор полезным и приятным Как сделать объемную звезду своими руками Как сделать то, что делать не хочется? Как сделать погремушку Как сделать так чтобы женщины сами знакомились с вами Как сделать идею коммерческой Как сделать хорошую растяжку ног? Как сделать наш разум здоровым? Как сделать, чтобы люди обманывали меньше Вопрос 4. Как сделать так, чтобы вас уважали и ценили? Как сделать лучше себе и другим людям Как сделать свидание интересным?


Категории:

АрхитектураАстрономияБиологияГеографияГеологияИнформатикаИскусствоИсторияКулинарияКультураМаркетингМатематикаМедицинаМенеджментОхрана трудаПравоПроизводствоПсихологияРелигияСоциологияСпортТехникаФизикаФилософияХимияЭкологияЭкономикаЭлектроника






Определение работы, силы мощности деформирования при выдавливании





Удельная работа в элементарном объеме Аw(φ, ρ, z) с координатами φ, ρ, z может быть вычислена как произведение интенсивности деформаций на интенсивность напряжений:

.

Поскольку деформированное состояние деформированной заготовки неоднородно, целесообразно вычислить среднюю удельную работу. При этом примем допущение, что в направлении оси z деформации однородны. Кроме того, поскольку свинец при комнатной температуре практически не упрочняется, то на основании условия пластичности Мизеса можно принять, что интенсивность напряжений равна постоянному и известному пределу текучести Таким образом, средняя по объему V удельная работа деформации Аw определяется по формуле

(2.6)

Усилие прессования является одной из основных технологических характеристик процесса, определяющих выбор оборудования. Суммарная сила при прямом выдавливании складывается из силы, необходимой на деформирование металла, и силы трения заготовки о поверхность контейнера:

. (2.7)

Сила деформирования может быть вычислена как отношение мощности деформирования Nд на скорость перемещения пуансона vп:

, (2.8)

, (2.9)

где L – длина хода пуансона;

τ – время прессования.

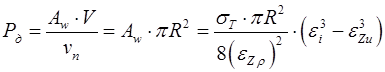
В свою очередь мощность деформирования определяется как произведение удельной работы деформирования на объем деформируемого материала V в единицу времени:

. (2.10)

Таким образом, сила деформирования

. (2.11)

Дополнительное трение заготовки о стенки контейнера учитывается силой трения

. (2.12)

Содержание работы

1. Предварительно ознакомиться с краткими теоретическими сведениями.

2. Измерить диаметр и высоту свинцовых полуцилиндров, а также сторону квадрата делительной сетки, нанесенной на диаметральную плоскость образца (плоскость разъема). Измерить диаметры выходных отверстий матриц в каждом из контейнеров.

3. Начертить схематичный эскиз технологической наладки выдавливания.

4. Сложить половинки заготовки, поместить заготовку в контейнер. Контейнер вложить в корпус штампа. Корпус штампа вместе с подкладным кольцом установить на подвижную траверсу испытательной машины ГСМ–50.

5. Включить машину и произвести прессование при величине хода пуансона 24 мм. С помощью секундомера измерить время прессования τ, по шкале динамометра испытательной машины измерить максимальную силу деформирования. Рассчитать скорость движения пуансона.

6. Выключить испытательную машину, снять штамп, разобрать контейнер, снять обе половинки выдавленной заготовки. По одной из них измерить длину выдавленной части заготовки l и высоту D неотпрессованной части заготовки. Рассчитать вытяжку металла.

7. Занести исходные данные опытов в таблицы, представленные в отчете.

8. С помощью ПЭВМ произвести необходимые расчеты, результаты расчета внести в таблицы 2.2-2.3.

9. Построить графики зависимости:

· относительного удлинения от отношения R/r;

· компоненты деформации сдвига εzρ от отношения ρ/r;

· интенсивности деформаций εi от отношения ρ/r;

· максимальной силы деформирования от отношения R/r.

10. С помощью ПЭВМ рассчитать мощность прессования для разных скоростей движения пуансона, занести данные в таблицу 2.4 и построить график зависимости мощности прессования при различных скоростях прессования.

11. Сделать письменные выводы по работе.

Вопросы для самопроверки

1. Что такое операция выдавливания? В чем она заключается и для чего применяется?

2. Тензор деформации. Компоненты тензора деформации.

3. Условие постоянства объема деформируемого металла.

4. Что такое интенсивность деформаций, как она вычисляется?

5. Как определяется деформация методом делительных сеток?

6. Схематизация деформации при выдавливании путем представления тензора деформации в виде суммы двух тензоров, описывающих более простые виды деформации: растяжение и неоднородны осесимметричный сдвиг.

7. Определение компонента тензора деформации и интенсивности деформаций при выдавливании.

8. Как рассчитывается удельная работа деформации? От каких факторов она зависит при выдавливании?

9. Из какого условия и по какой формуле рассчитывается сила деформирования?







Date: 2015-09-02; view: 1395; Нарушение авторских прав



mydocx.ru - 2015-2026 year. (0.178 sec.) Все материалы представленные на сайте исключительно с целью ознакомления читателями и не преследуют коммерческих целей или нарушение авторских прав - Пожаловаться на публикацию