Главная Случайная страница


Полезное:

Как сделать разговор полезным и приятным Как сделать объемную звезду своими руками Как сделать то, что делать не хочется? Как сделать погремушку Как сделать так чтобы женщины сами знакомились с вами Как сделать идею коммерческой Как сделать хорошую растяжку ног? Как сделать наш разум здоровым? Как сделать, чтобы люди обманывали меньше Вопрос 4. Как сделать так, чтобы вас уважали и ценили? Как сделать лучше себе и другим людям Как сделать свидание интересным?


Категории:

АрхитектураАстрономияБиологияГеографияГеологияИнформатикаИскусствоИсторияКулинарияКультураМаркетингМатематикаМедицинаМенеджментОхрана трудаПравоПроизводствоПсихологияРелигияСоциологияСпортТехникаФизикаФилософияХимияЭкологияЭкономикаЭлектроника






Примеры решения задач. а) По определению суммы матриц





1. Даны матрицы и .

Найти: а) А + В; б) 2 В; в) ВT; г) T; д) ВTA.

Решение.

а) По определению суммы матриц

.

б) По определению произведения матрицы на число

.

в) По определению транспонированной матрицы

.

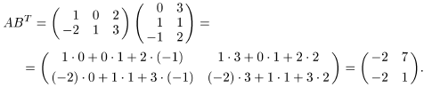
г) По определению произведения матриц

д) Аналогично пункту г) находим

.n

2. Дана система m линейных уравнений с n неизвестными

Здесь:

aij, bi (i = 1,..., m; j = 1,..., n) − известные числа;

xi (i = 1,..., n) − неизвестные.

Записать эту систему в матричном виде.

Решение.

Введем m × n -матрицу А с элементами aij и столбцы В с элементами b1,..., bm и X с элементами x1,..., xn. Тогда данную систему можно записать в виде АХ = В. n

3. Доказать равенство (АB) Т = АТBТ.

Решение.

Пусть А = (aij) m × n , B = (bij) n × k − Согласно определению произведения матриц элементы cij матрицы C = вычисляются по формуле

  . (2)

Элементы матриц АТ, BТ, CТ и D = BТAТ обозначим соответственно через aijТ, bijТ, cijТ и dij. Тогда в соответствии с равенством (1) имеем

  aijТ = aji, bijТ = bji, cijТ = cji. (3)

а элементы dij матрицы D = BТAТ вычисляются по формуле

.

Отсюда, учитывая равенства (2) и (3), получаем

.

Таким образом, элементы матриц D и CТ соответственно равны, поэтому CТ = D, т. е. (AB) Т = BТAТ, что и требовалось доказать.

4. Для матрицы найти обратную.

Решение.

Положим

.

По определению обратной матрицы A −1 A = Е, т. е.

.

Перемножая матрицы в левой части равенства и приравнивая элементы полученной матрицы соответствующим элементам матрицы в правой части равенства, приходим к системе уравнений

а + 2 b = 1, а + 3 b = 0, c + 4 d = 0, c + 3 d = l,

откуда находим а = 3, b = −1, c = −2, d = 1. Итак, матрица

удовлетворяет условию A −1 A = Е.

Нетрудно проверить, что равенство AA −1 = Е также выполняется.

Таким образом, найденная матрица A −1 обратная по отношению к матрице А.







Date: 2015-09-02; view: 590; Нарушение авторских прав



mydocx.ru - 2015-2026 year. (1.478 sec.) Все материалы представленные на сайте исключительно с целью ознакомления читателями и не преследуют коммерческих целей или нарушение авторских прав - Пожаловаться на публикацию