Главная Случайная страница


Полезное:

Как сделать разговор полезным и приятным Как сделать объемную звезду своими руками Как сделать то, что делать не хочется? Как сделать погремушку Как сделать так чтобы женщины сами знакомились с вами Как сделать идею коммерческой Как сделать хорошую растяжку ног? Как сделать наш разум здоровым? Как сделать, чтобы люди обманывали меньше Вопрос 4. Как сделать так, чтобы вас уважали и ценили? Как сделать лучше себе и другим людям Как сделать свидание интересным?


Категории:

АрхитектураАстрономияБиологияГеографияГеологияИнформатикаИскусствоИсторияКулинарияКультураМаркетингМатематикаМедицинаМенеджментОхрана трудаПравоПроизводствоПсихологияРелигияСоциологияСпортТехникаФизикаФилософияХимияЭкологияЭкономикаЭлектроника






Задания для практических занятий и самостоятельной работы. Задание 7. Определите относительные величины планового задания, динамики и выполнения плана по производительности труда и трудоёмкости производства продукции





Задание 7. Определите относительные величины планового задания, динамики и выполнения плана по производительности труда и трудоёмкости производства продукции. Зная изменение одного показателя, рассчитайте изменение другого (таблица 7.8).

Между изменения общей трудоемкости и среднечасовой выработкой существует обратно пропорциональная зависимость.

DЧВ% = DТЕ% *100;

100-DТЕ%

DТЕ% = DЧВ% *100;

100+DЧВ%

 

Таблица 7.8. Анализ динамики и выполнения плана по уровню трудоемкости продукции

 

Показатели Прошлый год Отчетный год Рост уровня, %
план факт План к прошлому году Факт к прошлому году Факт к плану
Товарная продукция, млн. руб.            
Отработано всеми работниками, чел-час.            
Удельная трудоемкость на 1 млн. руб., час            
Среднечасовая выработка, тыс. руб.            

 


7.6. Резервы повышения производительности труда и снижения трудоёмкости

 

Производительность труда является критерием эффективного использования трудовых ресурсов и эффективного хозяйствования, поэтому необходимо разработать конкретные мероприятия по обеспечению роста производительности труда и определить резерв повышения среднечасовой, среднедневной и среднегодовой выработки рабочих.

Основные направления поиска резервов роста производительности вытекают из самой формулы расчета ее уровня: ЧВ = = ВП/Т, согласно которой добиться повышения производительности труда можно путем:

а) увеличения выпуска продукции за счет более полного использования производственной мощности предприятия, так как при наращивании объемов производства увеличивается только переменная часть затрат рабочего времени, а постоянная остается без изменения. В результате затраты времени на выпуск единицы продукции уменьшаются;

б) сокращения затрат труда на ее производство путем интенсификации производства, повышения качества продукции, внедрения комплексной механизации и автоматизации производства, более совершенной техники и технологии производства, сокращения потерь рабочего времени за счет улучшения организации производства, материально-технического снабжения и других факторов в соответствии с планом организационно-технических мероприятий.

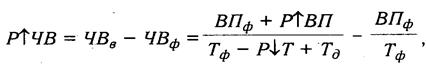
где Р↑ЧВ - резерв увеличения среднечасовой выработки; ЧВв, ЧВф соответственно возможный и фактический уровень среднечасовой выработки; Р↑ВП - резерв увеличения валовой продукции за счет внедрения мероприятий НТП; Тф - фактические затраты рабочего времени на выпуск фактического объема продукции; P↓T — резерв сокращения рабочего времени за счет механизации и автоматизации производственных процессов, улучшения организации труда, повышения уровня квалификации работников и др.; Тд - дополнительные затраты труда, связанные с увеличением выпуска продукции, которые определяются по каждому источнику резервов увеличения производства продукции с учетом дополнительного объема работ, необходимого для освоения этого резерва, и норм выработки.

Умножив резерв роста среднечасовой выработки на плановую продолжительность рабочего дня, получим резерв роста среднедневной выработки. Если же этот резерв умножим на планируемый фонд рабочего времени одного рабочего, то узнаем резерв роста среднегодовой выработки рабочих.

Для определения резерва увеличения выпуска продукции необходимо возможный прирост среднечасовой выработки умножить на планируемый фонд рабочего времени всех рабочих:

Резерв роста производительности труда за счет проведения определенного мероприятия (Р↑ПТхi) можно рассчитать также по следующей формуле:

где P↓ЧP%хi - процент относительного сокращения численности рабочих или управленческого персонала за счет проведения определенного мероприятия.

 







Date: 2015-08-24; view: 585; Нарушение авторских прав



mydocx.ru - 2015-2026 year. (0.712 sec.) Все материалы представленные на сайте исключительно с целью ознакомления читателями и не преследуют коммерческих целей или нарушение авторских прав - Пожаловаться на публикацию