Главная Случайная страница


Полезное:

Как сделать разговор полезным и приятным Как сделать объемную звезду своими руками Как сделать то, что делать не хочется? Как сделать погремушку Как сделать так чтобы женщины сами знакомились с вами Как сделать идею коммерческой Как сделать хорошую растяжку ног? Как сделать наш разум здоровым? Как сделать, чтобы люди обманывали меньше Вопрос 4. Как сделать так, чтобы вас уважали и ценили? Как сделать лучше себе и другим людям Как сделать свидание интересным?


Категории:

АрхитектураАстрономияБиологияГеографияГеологияИнформатикаИскусствоИсторияКулинарияКультураМаркетингМатематикаМедицинаМенеджментОхрана трудаПравоПроизводствоПсихологияРелигияСоциологияСпортТехникаФизикаФилософияХимияЭкологияЭкономикаЭлектроника






Построение эпюр внутренних усилий в балках при плоском изгибе. Правило знаков





Плоский изгиб. Под плоским поперечным изгибом понимают такой вид деформации, при которой происходит искривление оси прямого бруса, и в поперечном сечении бруса действует два силовых фактора: изгибающий момент М и поперечная сила Q. Осью бруса называется геометрическое место точек центров тяжестей поперечных сечений бруса. Изгиб – плоский, если ось балки после деформации остается плоской линией. В противном случае имеет место косой изгиб. Если поперечная сила не возникает, изгиб называется чистым изгибом.

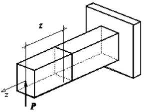
Рассмотрим, например, балку, нагруженную вертикальной сосредоточенной силой P. Для определения внутренних усилий при прямом изгибе, возникающих в поперечном сечении, расположенном на расстоянии z от места приложения нагрузки, воспользуемся методом сечений.

а б

Рис. 22. Плоский изгиб:
а – балка под нагрузкой Р; б – внутренние силы при изгибе

Разрежем мысленно балку в интересующем месте на две части.Отбросим левую часть балки, нагруженную силой P. Заменим действие отброшенной левой части балки на оставленную правую часть внутренними силами.

Внутренние усилия возникают во всех точках поперечного сечения балки и распределены по неизвестному закону. Не имея возможности определить эти внутренние усилия для каждой точки сечения, заменяем их статически эквивалентными внутренними силовыми факторами, приложенными в центре тяжести поперечного сечения.

Внутренние силовые факторы определяются из условия равновесия рассматриваемой части балки. Однако можем внутренние силовые факторы найти и непосредственно, как действие отброшенной левой части на правую часть. Видно, что часть балки, нагруженная силой P, стремится изогнуть рассматриваемую нами правую часть выпуклостью вниз, а также пытается произвести срез. Следовательно, в сечении должны возникнуть поперечная сила и изгибающий момент.

Осуществим параллельный перенос силы P в центр тяжести поперечного сечения балки. По правилам теоретической механики добавляется момент, равный Pz.

Таким образом, в поперечном сечении балки возникают два внутренних силовых фактора:

– изгибающий момент, численно равный алгебраической сумме моментов всех сил, приложенных к отбрасываемой части балки, относительно главной центральной оси, проходящей через центр тяжести рассматриваемого сечения (в данном примере М = Рz);

– поперечная сила, численно равная алгебраической сумме всех внешних сил (активных и реактивных), действующих на отбрасываемую часть балки (в нашем примере Q = P).

Построение эпюр поперечных сил и изгибающих моментов. При расчете балок на прочность необходимо знать характер изменения изгибающего момента и поперечной силы вдоль оси балки и знать положение опасного сечения. С этой целью строят эпюры поперечных сил и изгибающих моментов.

Если внешняя сила стремится повернуть отсеченную часть по часовой стрелке относительно рассматриваемого сечения, то поперечная сила положительна.

а б

Рис. 23. Правило знаков для внутренних усилий:
а – для поперечной силы; б – для изгибающего момента

Изгибающий момент будет положительным, если при действии момента внешних сил балка искривляется выпуклостью вниз.

Построение эпюр поперечных сил и изгибающих моментов рассмотрим на конкретном примере.

Пусть на балку действует внешний изгибающий момент m = 6 кН•м и внешняя сила F = 12 кН, l = 1 м. Определим реакции в опорах A и B. Составим уравнения равновесия моментов всех внешних сил относительно опор A и B

откуда

Рис. 24. Эпюры Qy, Mx

Проведем сечения на каждом характерном участке и определим значения поперечной силы Qy и изгибающего момента Mx.

В сечении 1

В сечении 2

В сечении 3

По полученным значениям строим эпюры поперечных сил и изгибающих моментов (рис. 24).







Date: 2015-08-15; view: 834; Нарушение авторских прав



mydocx.ru - 2015-2026 year. (0.736 sec.) Все материалы представленные на сайте исключительно с целью ознакомления читателями и не преследуют коммерческих целей или нарушение авторских прав - Пожаловаться на публикацию