Главная Случайная страница


Полезное:

Как сделать разговор полезным и приятным Как сделать объемную звезду своими руками Как сделать то, что делать не хочется? Как сделать погремушку Как сделать так чтобы женщины сами знакомились с вами Как сделать идею коммерческой Как сделать хорошую растяжку ног? Как сделать наш разум здоровым? Как сделать, чтобы люди обманывали меньше Вопрос 4. Как сделать так, чтобы вас уважали и ценили? Как сделать лучше себе и другим людям Как сделать свидание интересным?


Категории:

АрхитектураАстрономияБиологияГеографияГеологияИнформатикаИскусствоИсторияКулинарияКультураМаркетингМатематикаМедицинаМенеджментОхрана трудаПравоПроизводствоПсихологияРелигияСоциологияСпортТехникаФизикаФилософияХимияЭкологияЭкономикаЭлектроника






Экономическая оценка оборудования как объекта производства и как эксплуатации





Основная цель конструирования – увеличение экономического эффекта машин. Главными факторами, определяющими экономичность оборудования, являются его полезная отдача, надежность, расходы на оплату труда операторов, потребление энергии и стоимость ремонтов.

Основными показателями экономической эффективности новой техники являются:

• интегральный показатель, называемый коэффициентом рентабельности Re;

• суммарный экономический эффект за весь срок службы QЕ;

• коэффициент технического использования Kти;

• коэффициент нормативного использования Kни;

• коэффициент оборачиваемости Kоб;

• срок окупаемости оборудования Нок;

• коэффициент эксплуатационных расходов Kэр;

• себестоимость и цена оборудования.

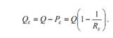
Коэффициент рентабельности (или просто рентабельность) определяется как

где Q – полезная отдача, т. е. полезный суммарный эффект от эксплуатации оборудования за весь период его работы. Например, при бурении это стоимость пробуренных метров или скважин за этот же период и т. д.; Р? – сумма расходов за весь период работы оборудования, руб. (включает стоимость энергии, расходы на амортизацию, подготовительные работы, монтаж-демонтаж, материалы, эксплуатацию оборудования, труб, инструмента, основную заработную плату, услуги вспомогательных цехов и др., накладные расходы, потери от аварий).

Условие эффективности оборудования Rе>1.

Суммарный экономический эффект за весь срок службы оборудования

Коэффициент технического использования определяют по формуле

где – суммарное время пребывания i-го объекта в работоспособном состоянии (i = 1, 2...N); N – число объектов; Тэксп – продолжительность эксплуатации, включающая интервалы времени работы, технического обслуживания и простоев до наступления предельного состояния.

Коэффициент нормативного использования вычисляют по формуле

где То – общее время пребывания оборудования в работе, включая время простоев по организационным причинам; ТН – нормативный срок службы, т. е. календарная продолжительность эксплуатации оборудования или срок ее амортизации, ч.

 

Коэффициент оборачиваемости Коб является величиной, обратной коэффициенту нормативного использования Кни, и определяется из выражения

где Z = A+B+C – общее число (парк) единиц оборудования предприятия; А, В и С – число единиц оборудования, соответственно занятых непосредственно в технологическом цикле, в подготовительной стадии (монтаже-транспортировке) и профилактическом ремонте.

Величина Kоб является нормируемой и обычно составляет Kоб = 1,5–2,1.

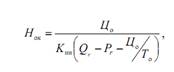
Срок окупаемости оборудования Нок определяется как период эксплуатации, за время которого полезная отдача Q равна цене оборудования Цо или капитальным затратам на его создание, т. е. Q=Цо. Тогда срок окупаемости составляет

где Qr – годовая отдача или годовой экономический эффект, руб./год; Pr – сумма годовых эксплуатационных расходов, руб.

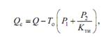
Если принять, что эксплуатационные расходы пропорциональны долговечности, то суммарный экономический эффект

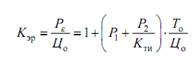
где Р1 и Р2 – эксплуатационные расходы, пропорциональные соответственно сроку службы и долговечности, руб/ч. Коэффициент эксплуатационных расходов Кэр определяется как отношение расходов за весь календарный период работы оборудования Pε к ее стоимости Цо:

С увеличением времени работы оборудования То уменьшается доля стоимости оборудования в общей сумме расходов.

Себестоимость, плановая и лимитная цена оборудования. Смотри в вопросе 37

 







Date: 2015-08-15; view: 989; Нарушение авторских прав



mydocx.ru - 2015-2026 year. (1.017 sec.) Все материалы представленные на сайте исключительно с целью ознакомления читателями и не преследуют коммерческих целей или нарушение авторских прав - Пожаловаться на публикацию