Главная Случайная страница


Полезное:

Как сделать разговор полезным и приятным Как сделать объемную звезду своими руками Как сделать то, что делать не хочется? Как сделать погремушку Как сделать так чтобы женщины сами знакомились с вами Как сделать идею коммерческой Как сделать хорошую растяжку ног? Как сделать наш разум здоровым? Как сделать, чтобы люди обманывали меньше Вопрос 4. Как сделать так, чтобы вас уважали и ценили? Как сделать лучше себе и другим людям Как сделать свидание интересным?


Категории:

АрхитектураАстрономияБиологияГеографияГеологияИнформатикаИскусствоИсторияКулинарияКультураМаркетингМатематикаМедицинаМенеджментОхрана трудаПравоПроизводствоПсихологияРелигияСоциологияСпортТехникаФизикаФилософияХимияЭкологияЭкономикаЭлектроника






Коэффициенты эксплуатационной трудоемкости, материалоемкости и энергоемкости





Метод учета масс при оценке трудоемкости учитывает ее изменение в изготовлении и ремонте по сравнению с изделием аналогом и определяется по формуле T=Ta*KM

где Та – трудоемкость изделия-аналога, имеющего с проектируемым изделием общие конструктивные и технологические признаки;

Kм – коэффициент различия массы или размеров сопоставляемых изделий.

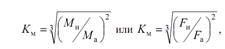
Для деталей простой формы типа валов, втулок, шестерен

гдеMИ/Ma и FИ/Fa – соответственно соотношение масс и площадей обрабатываемых поверхностей изделий – проектируемого и аналога. По этим отношениям определяется значение Kм из таблиц.

При методе учета сложности конструкции изделия трудоемкость изделия определяется по формуле с учетом коэффициента сложности Кси: Т = Ta* Kси

Для изделий одной типовой группы и примерно равных размеров Kси= Kш *Kт

где Kш и Kт – коэффициенты зависимости трудоемкости от изменения шероховатости и точности. По этим коэффициентам имеются нормативы применительно к обработке резанием.

Трудоемкость проектируемого изделия с применением приведенных коэффициентов определяют по формуле

Т = Ta* Kти* Kши/ (Kта* Kша)

Различают общие и удельные производственные и эксплуатационные показатели ТКИ. К общим показателям ТКИ относят материалоемкость изделия Mи, трудоемкость энергоемкость Эи и удельную материалоемкость изделия

γМ =МИ / (P*τ)

где P – номинальное значение основного параметра или полезный эффект, получаемый по прямому назначению; τ – срок службы. К производственным (ремонтным) показателям относят трудоемкость изделия Ти в изготовлении (ремонте), удельную трудоемкость изделия в изготовлении технологическую себестоимость в изготовлении (ремонте).

Энергоёмкость — величина потребления энергии и (или) топлива на основные и вспомогательные технологические процессы изготовления продукции.

 

Себестоимость, плановая и лимитная цена оборудования.

Себестоимость, плановая и лимитная цена оборудования. На предпроектной и проектной стадиях определяют себестоимость нового оборудования, исходя из изменения данных по базовой машине или ее элементов по группам, с учетом стоимости покупных изделий и затрат на проектирование.

Цены на проектируемое оборудование также определяют на основе данных по базовой машине. Плановая оптовая цена ЦП учитывает нормативную и дополнительную прибыль и должна находиться в пределах

ЦНП< ЦП < ЦВП

где Цнп Цвп - нижний и верхний пределы цены.

Нижний предел цены находят для второго года выпуска по плановой себестоимости новой продукции Cп и нормативу рентабельности Р:

ЦНП = СП * (100+Р) /100

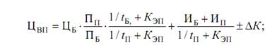
Верхний предел цены находят как

где П – программы выпуска; индексы П и Б означают отношение показателей к проектируемой или базовой машине; t – срок службы; Кэп – нормативный коэффициент эффективности капитальных вложений; И – текущие издержки потребителя при использовании машин; ∆К – изменения капитальных затрат у потребителя в связи с заменой базовой машины на проектируемую.

В соответствии с ГОСТ 15.001–69 заявки и исходные требования на создание новых машин и оборудования должны содержать требования по лимитной цене изделия Цл. Если цена нового оборудования Цо > Цл, то применение его будет экономически нецелесообразно.

Лимитную цену Цл определяют на основе выбора существующего аналога и оценки эффективности использования нового вида оборудования по сравнению с аналогом. На практике лимитную цену иногда принимают равной 80 % от цены, при которой экономический эффект от применения проектируемой машины становится равным 0.

Эффективность нового оборудования может быть оценена путем сравнения его проектной себестоимости и приведенных затрат с фактическими данными базового оборудования по этим же показателям. Обычно определяется годовой экономический эффект по формуле

Э=(ПЗ1 - ПЗ1)*Q2 = [(C1УД – C2УД) – ЕН(К1УД – К2УД)] *Q2

где Пз1 и Пз2  приведенные затраты соответственно по базовому и проектируемому оборудованию; Q2 – объем выпуска продукции с новым оборудованием за год; Ен = 0,12–0,15 – нормативный коэффициент эффективности новой техники; С1уд, С2уд, К1уд, К2уд - удельные показатели себестоимости и капитальных вложений в производственные фонды на единицу продукции базового и проектируемого оборудования соответственно.

Часто ожидаемый экономический эффект рассчитывается с учетом только статей затрат, существенно изменяющихся при использовании нового оборудования.

 







Date: 2015-08-15; view: 1094; Нарушение авторских прав



mydocx.ru - 2015-2026 year. (0.426 sec.) Все материалы представленные на сайте исключительно с целью ознакомления читателями и не преследуют коммерческих целей или нарушение авторских прав - Пожаловаться на публикацию