Главная Случайная страница


Полезное:

Как сделать разговор полезным и приятным Как сделать объемную звезду своими руками Как сделать то, что делать не хочется? Как сделать погремушку Как сделать так чтобы женщины сами знакомились с вами Как сделать идею коммерческой Как сделать хорошую растяжку ног? Как сделать наш разум здоровым? Как сделать, чтобы люди обманывали меньше Вопрос 4. Как сделать так, чтобы вас уважали и ценили? Как сделать лучше себе и другим людям Как сделать свидание интересным?


Категории:

АрхитектураАстрономияБиологияГеографияГеологияИнформатикаИскусствоИсторияКулинарияКультураМаркетингМатематикаМедицинаМенеджментОхрана трудаПравоПроизводствоПсихологияРелигияСоциологияСпортТехникаФизикаФилософияХимияЭкологияЭкономикаЭлектроника






Свойства





Частота - количество оборотов биона в единицу времени.

Скорость света - скорость передачи вращений от одного биона к другому.

Фаза - расположение одного из полюсов биона относительно линии распространения электромагнитной волны.

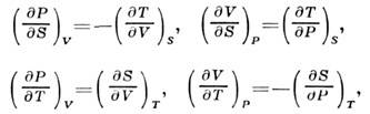
МАКСВЕЛЛА СООТНОШЕНИЯ

- соотношения между производными термодинамич. ф-ций:

Метод термодинамических потенциалов помогает преобразовывать выражения, в которые входят основные термодинамические переменные и тем самым выражать такие «труднонаблюдаемые» величины, как количество теплоты, энтропию, внутреннюю энергию через измеряемые величины — температуру, давление и объём и их производные.

где P- давление, T- абс. темп-pa, V- объём, S- энтропия.M. с. можно получить из второго начала термодинамики. Напр., из термодинамич. равенства где U- внутр. энергия, следует первое M. с. как условие того, что dU есть полный дифференциал. Остальные M. с. следуют из того, что энтальпия H, энергия Гельмгольца F и энергия Гиббса G являются характеристическими функциями или термодинамическими потенциалами в переменных S, P; V, T; P, T. Иногда M. с. наз. соотношениями взаимности.

Термодинамическая система — совокупность макроскопических тел, которые могут взаимодействовать между собой и с др. телами (внешней средой) — обмениваться с ними энергией и веществом; состоит из столь большого числа структурных частиц (атомов, молекул), что её состояние можно характеризовать макроскопическими параметрами: плотностью, давлением, концентрацией веществ, образующих термодинамическую систему, и т.д. Термодинамическая система находится в равновесии, если параметры системы с течением времени не меняются и в системе нет каких-либо стационарных потоков (теплоты, вещества и др.). Для равновесных термодинамических систем вводится понятие температуры как параметра состояния, имеющего одинаковое значение для всех макроскопических частей системы. Число независимых параметров состояния равно числу степеней свободы термодинамической системы, остальные параметры могут быть выражены через независимые с помощью уравнения состояния. Свойства равновесных термодинамических систем изучает термодинамика равновесных процессов (термостатика); свойства неравновесных систем — термодинамика неравновесных процессов. Рассматривают термодинамические системы:

закрыты е, не обменивающиеся веществом с др. системами;

открытые, обменивающиеся веществом и энергией с др. системами;

адиабатны е, в которых отсутствует теплообмен с др. системами;

изолированные, не обменивающиеся с др. системами ни энергией, ни веществом.

Если термодинамическая система не изолирована, то её состояние может изменяться: изменение состояния термодинамическая системы называют термодинамическим процессом.

Термодинамическая система может быть физически однородной (гомогенной системой) и неоднородной (гетерогенной системой), состоящей из нескольких однородных частей с разными физическими свойтсвами. В результате фазовых и химических превращений гомогенная термодинамическая система может стать гетерогенной и наоборот.

Параметры состояния могут быть интенсивными и экстенсивными. Интенсивные параметры не зависят от количества вещества, экстенсивные - зависят. Пример - объем и температура.

Экстенсивные параметры, отнесенные к единице количества вещества, приобретают смысл интенсивных. Их называют удельными.

Термодинамические параметры состояния - интенсивные свойства, определяющие состояние тела или группы тел.

Обычно состояние однородного тела может быть однозначно определено тремя параметрами - давлением, температурой и удельным объемом.

При наличии силовых полей (гравитационного, электромагнитного и др.) состояние определяется неоднозначно.

Метод молекулярной динамики (метод МД) — метод, в котором временная эволюция системы взаимодействующих атомов или частиц отслеживается интегрированием их уравнений движения.

Метод молекулярной динамики, изначально разработанный в теоретической физике, получил большое распространение в химии и, начиная с 1970х годов, в биохимии и биофизике. Он играет важную роль в определении структуры белка и уточнении его свойств (см. также кристаллография, ЯМР). Взаимодействие между объектами может быть описано силовым полем (классическая молекулярная динамика), квантовохимической моделью или смешанной теорией, содержащей элементы двух предыдущих (QM/MM (quantum mechanics/molecular mechanics, QMMM (англ.)).\







Date: 2015-08-07; view: 350; Нарушение авторских прав



mydocx.ru - 2015-2026 year. (2.872 sec.) Все материалы представленные на сайте исключительно с целью ознакомления читателями и не преследуют коммерческих целей или нарушение авторских прав - Пожаловаться на публикацию