Главная Случайная страница


Полезное:

Как сделать разговор полезным и приятным Как сделать объемную звезду своими руками Как сделать то, что делать не хочется? Как сделать погремушку Как сделать так чтобы женщины сами знакомились с вами Как сделать идею коммерческой Как сделать хорошую растяжку ног? Как сделать наш разум здоровым? Как сделать, чтобы люди обманывали меньше Вопрос 4. Как сделать так, чтобы вас уважали и ценили? Как сделать лучше себе и другим людям Как сделать свидание интересным?


Категории:

АрхитектураАстрономияБиологияГеографияГеологияИнформатикаИскусствоИсторияКулинарияКультураМаркетингМатематикаМедицинаМенеджментОхрана трудаПравоПроизводствоПсихологияРелигияСоциологияСпортТехникаФизикаФилософияХимияЭкологияЭкономикаЭлектроника






II. Эмиссионный спектральный анализ





Эмиссионный спектральный анализ дает возможность определять элементный состав вещества Метод эмиссионной спектроскопии (АЭС) основан на термическом возбуждении свободных атомов или одноатомных ионов и регистрации оптическою спектра испускания возбужденных атомов. Аналитическим сигналом в АЭС служит интенсивность испускаемого излучения I. Поскольку возбуждение атомов имеет термическую природу, возбужденные и невозбужденные атомы находятся между собой в термодинамическом равновесии, положение которого описывается законом распределения Больцмана:

Где N0—число невозбужденных атомов; g* и g0 —статические веса возбужденного и невозбужденного состояния; Е — энергия Больцмана; Т— абсолютная температура.

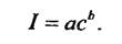
Таким образом, при постоянной температуре число возбужденных частиц N* прямо пропорционально числу невозбужденных частиц N0 , т.е. фактически общему числу данных атомов N в атомизаторе атомно-эмиссионного анализа доля возбужденных частиц очень мала(N* «N0 ). В свою очередь (при заданных условиях атомизации, определяемых конструкцией и режимом работы прибора и рядом других факторов), число атомов (N) в атомизаторе пропорционально концентрации определяемого элемента в пробе с. Таким образом, можно было бы ожидать, что между интенсивностью испускаемого излучения I и концентрацией определяемого элемента c наблюдается прямо пропорциональная зависимость. Однако на практике условия, обеспечивающие эту зависи­мость, выполняются далеко не всегда. В общем случае зависимость интенсивности излучения от концентрации нелинейна и может быть описа­на эмпирическим уравнением

Это уравнение называется уравнением Ломакина—Шайбе. Оно является основным количественным соотношением атомно-эмиссионого анализа.

Коэффициент а в уравнении является сугубо эмпирической величиной, зависящей от условий процесса. Поэтому в АЭС решающее значение имеет правильный выбор условий атомизации и измерения ана­литического сигнала, включая градуировку по образцам сравнения.







Date: 2015-08-07; view: 925; Нарушение авторских прав



mydocx.ru - 2015-2026 year. (0.415 sec.) Все материалы представленные на сайте исключительно с целью ознакомления читателями и не преследуют коммерческих целей или нарушение авторских прав - Пожаловаться на публикацию