Тепловое излучение. Фотоэффект
-----------------------------------------------------------------------
1. При изучении внешнего фотоэффекта были получены две зависимости задерживающего напряжения U3 от частоты падающего света (см. рис.). Верным является утверждение, что зависимости получены для...
| двух различных металлов; при этом работа выхода для второго металла больше
| |
| двух различных металлов; при этом работа выхода для первого металла больше
| |
| одного и того же металла при различных его освещенностях; при этом освещенность первого металла больше
| |
| одного и того же металла при различных его освещенностях; при этом освещенность второго металла больше
| -----------------------------------------------------------------------
Решение: Согласно уравнению Эйнштейна для фотоэффекта, , где энергия падающего фотона; работа выхода электрона из металла; максимальная кинетическая энергия электрона, которая может быть определена по величине задерживающего напряжения: . Тогда уравнение Эйнштейна примет вид . Отсюда . Это уравнение прямой, не проходящей через начало координат. Две показанные на графике зависимости отличаются друг от друга величиной работы выхода, причем работа выхода для второго металла больше. Согласно закону Столетова, максимальная кинетическая энергия электронов, а следовательно, и величина задерживающего напряжения, не зависит от интенсивности света (освещенности металла).
-----------------------------------------------------------------------
2. Уединенный медный шарик освещается ультрафиолетовым излучением с длиной волны . Если работа выхода электрона для меди , то максимальный потенциал, до которого может зарядиться шарик, равен _____ В. ( )
| 3,0
| |
|
| |
| 4,5
| |
|
| -----------------------------------------------------------------------
Решение: Под действием падающего ультрафиолетового излучения происходит вырывание электронов из металла (фотоэффект). Вследствие вылета электронов шарик заряжается положительно. Максимальный потенциал , до которого может зарядиться шарик, определяется максимальной кинетической энергией фотоэлектронов , где – заряд электрона. Эту энергию можно определить из уравнения Эйнштейна для фотоэффекта: Тогда 
-----------------------------------------------------------------------
3. Величина фототока насыщения при внешнем фотоэффекте зависит …
| от интенсивности падающего света
| |
| от состояния поверхности освещаемого материала
| |
| от работы выхода освещаемого материала
| |
| от величины задерживающего потенциала
| -----------------------------------------------------------------------
Решение: Фототок насыщения определяется числом фотоэлектронов, выбиваемых из катода в единицу времени, которое пропорционально интенсивности света (закон Столетова).
-----------------------------------------------------------------------
4. Наблюдается явление внешнего фотоэффекта. При этом с уменьшением длины волны падающего света …
| увеличивается величина задерживающей разности потенциалов
| |
| уменьшается кинетическая энергия электронов
| |
| увеличивается красная граница фотоэффекта
| |
| уменьшается энергия фотонов
| -----------------------------------------------------------------------
Решение: Согласно уравнению Эйнштейна для фотоэффекта, , где энергия падающего фотона, работа выхода электрона из металла, максимальная кинетическая энергия электрона. Энергию фотона можно выразить через длину волны: , а максимальную кинетическую энергию электронов – через величину задерживающей разности потенциалов: . Тогда уравнение Эйнштейна запишется в виде: . Отсюда следует, что при уменьшении длины волны увеличится энергия фотонов и величина задерживающей разности потенциалов (и кинетической энергии электронов), поскольку красная граница фотоэффекта определяется работой выхода электронов из металла и не зависит от длины волны падающего света.
-----------------------------------------------------------------------
5. Наблюдается явление внешнего фотоэффекта. При этом с уменьшением длины волны падающего света …
| увеличивается величина задерживающей разности потенциалов
| |
| уменьшается кинетическая энергия электронов
| |
| увеличивается красная граница фотоэффекта
| |
| уменьшается энергия фотонов
| -----------------------------------------------------------------------
Решение: Согласно уравнению Эйнштейна для фотоэффекта, , где энергия падающего фотона, работа выхода электрона из металла, максимальная кинетическая энергия электрона. Энергию фотона можно выразить через длину волны: , а максимальную кинетическую энергию электронов – через величину задерживающей разности потенциалов: . Тогда уравнение Эйнштейна запишется в виде: . Отсюда следует, что при уменьшении длины волны увеличится энергия фотонов и величина задерживающей разности потенциалов (и кинетической энергии электронов), поскольку красная граница фотоэффекта определяется работой выхода электронов из металла и не зависит от длины волны падающего света.
-----------------------------------------------------------------------
6. По мере нагревания тела его свечение изменяется следующим образом. При комнатной температуре свечение в видимой области спектра не наблюдается. По мере повышения температуры тело начинает светиться малиновым цветом, переходящим в красный цвет («красное каление»), а затем в белый («белое каление»). Закономерности изменения цвета свечения тела при его нагревании объясняются …
| законом смещения Вина
| |
| законом Стефана-Больцмана
| |
| законами смещения Вина и Стефана-Больцмана
| |
| законом Кирхгофа
| -----------------------------------------------------------------------
Решение: Согласно закону смещения Вина, длина волны, на которую приходится максимум излучательной способности абсолютно черного тела, обратно пропорциональна абсолютной температуре: , где – постоянная. При комнатной температуре максимум излучения лежит в далекой инфракрасной области, излучение в видимой области практически отсутствует. При температуре, приближающейся к , максимум излучения по-прежнему находится в инфракрасной области, однако излучение в видимой части спектра становится заметным. При этом наибольшая интенсивность приходится на красную часть спектра. Это температура «красного каления». По мере роста температуры максимум излучения смещается в видимую часть спектра; при этом различие в интенсивностях падает, и излучение приобретает желтый, а затем и белый цвет («белое каление»).
-----------------------------------------------------------------------
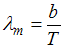
7. На рисунке представлены кривые зависимости спектральной плотности энергетической светимости абсолютно черного тела от длины волны при разных температурах. Если кривая 2 представляет спектр излучения абсолютно черного тела при температуре 300 К, то кривой 1 соответствует температура (в К), равная … 
-----------------------------------------------------------------------
Решение: Согласно закону Вина, длина волны, на которую приходится максимум спектральной плотности энергетической светимости абсолютно черного тела, обратно пропорционален его термодинамической температуре: , где постоянная Вина. Тогда Отсюда следует, что К.
-----------------------------------------------------------------------
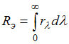
8. На рисунке представлены кривые зависимости спектральной плотности энергетической светимости абсолютно черного тела от длины волны при разных температурах. Отношение энергетических светимостей при этих температурах равно … 
-----------------------------------------------------------------------
Решение: Распределение энергии в спектре излучения абсолютно черного тела в зависимости от частоты излучения и температуры объясняется законами Стефана – Больцмана и Вина. Энергетическая светимость абсолютно черного тела связана со спектральной плотностью энергетической светимости соотношением . В соответствии с законом Стефана − Больцмана , где постоянная Стефана – Больцмана. Согласно закону смещения Вина, , где длина волны, на которую приходится максимум спектральной плотности энергетической светимости; постоянная Вина. Отсюда 
-----------------------------------------------------------------------
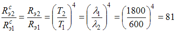
9. При изменении температуры серого тела максимум спектральной плотности энергетической светимости сместился с на . При этом энергетическая светимость …
| увеличилась в 81 раз
| |
| увеличилась в 3 раза
| |
| уменьшилась в 3 раза
| |
| уменьшилась в 81 раз
| -----------------------------------------------------------------------
Решение: Распределение энергии в спектре излучения абсолютно черного тела в зависимости от частоты излучения и температуры объясняется законами Стефана – Больцмана и Вина. Энергетическая светимость абсолютно черного тела связана со спектральной плотностью энергетической светимости соотношением . В соответствии с законом Стефана − Больцмана , где постоянная Стефана – Больцмана. Согласно закону смещения Вина, , где длина волны, на которую приходится максимум спектральной плотности энергетической светимости; постоянная Вина. Тело называется серым, если его поглощательная способность одинакова для всех частот и зависит только от температуры . Энергетическая светимость серого тела связана с энергетической светимостью черного тела соотношением . Таким образом, .
-----------------------------------------------------------------------
10. На рисунке представлены две вольтамперные характеристики вакуумного фотоэлемента. Если Е – освещенность фотокатода, а – длина волны падающего на него света, то справедливо следующее утверждение … 
-----------------------------------------------------------------------
Решение: Приведенные на рисунке вольтамперные характеристики отличаются друг от друга величиной задерживающего напряжения ( ) и величиной тока насыщения ( ). Величина задерживающего напряжения определяется максимальной скоростью фотоэлектронов: . С учетом этого уравнение Эйнштейна можно представить в виде . Отсюда, поскольку , . При этом учтено, что остается неизменной. На величину фототока насыщения влияет освещенность фотокатода: согласно закону Столетова, фототок насыщения пропорционален энергетической освещенности фотокатода. Поэтому .
-----------------------------------------------------------------------
11. Уединенный медный шарик освещается ультрафиолетовым излучением с длиной волны . Если работа выхода электрона для меди , то максимальный потенциал, до которого может зарядиться шарик, равен _____ В. ( )
| 3,0
| |
|
| |
| 4,5
| |
|
| -----------------------------------------------------------------------
Решение: Под действием падающего ультрафиолетового излучения происходит вырывание электронов из металла (фотоэффект). Вследствие вылета электронов шарик заряжается положительно. Максимальный потенциал , до которого может зарядиться шарик, определяется максимальной кинетической энергией фотоэлектронов , где – заряд электрона. Эту энергию можно определить из уравнения Эйнштейна для фотоэффекта: Тогда 
-----------------------------------------------------------------------
Date: 2015-08-06; view: 2426; Нарушение авторских прав | Понравилась страница? Лайкни для друзей: |
|
|