Главная Случайная страница


Полезное:

Как сделать разговор полезным и приятным Как сделать объемную звезду своими руками Как сделать то, что делать не хочется? Как сделать погремушку Как сделать так чтобы женщины сами знакомились с вами Как сделать идею коммерческой Как сделать хорошую растяжку ног? Как сделать наш разум здоровым? Как сделать, чтобы люди обманывали меньше Вопрос 4. Как сделать так, чтобы вас уважали и ценили? Как сделать лучше себе и другим людям Как сделать свидание интересным?


Категории:

АрхитектураАстрономияБиологияГеографияГеологияИнформатикаИскусствоИсторияКулинарияКультураМаркетингМатематикаМедицинаМенеджментОхрана трудаПравоПроизводствоПсихологияРелигияСоциологияСпортТехникаФизикаФилософияХимияЭкологияЭкономикаЭлектроника






Фазовые соотношения





Так как. j 1 и j 2 вещественны (случай полного внутреннего отражения пока исключен), то тригонометрические функции, стоящие в правой части уравнений Френеля), также вещественны. Следовательно фаза каждой компоненты отраженной и прошедшей волн либо равна фазе соответствующей компоненты падающей волны, либо отличается от нее на p. Т.к. знаки (E 20)|| и (E 20)^ совпадают со знаками (E 00)|| и (E 00)^, фаза прошедшей волны равна фазе падающей. В случае же отраженной волны фаза будет зависеть от относительных значений j 1 и j 2. Если оптическая плотность второй среды больше, чем первой (e 2 > e 1), то j 1 > j 2; поэтому, согласно, знаки (E 10)^ и (E 00)^ различны и фазы отличаются друг от друга на p. При тех же обстоятельствах значение tg(j 1j 2) положительно, но знаменатель tg(j 1 + j 2) становится отрицательным для j 1 + j 2 > p /2, и в этом случае фазы (E 10)|| и (E 10)|| отличаются друг от друга на p. Аналогичное рассмотрение можно привести для случая, когда вторая среда оптически менее плотна, чем первая.

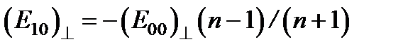
Для нормального падения j 1 = 0 и, следовательно, j 2 = 0; тогда соотношения,, и примут вид ,

, , где n = n 2/ n 1.







Date: 2015-08-06; view: 544; Нарушение авторских прав



mydocx.ru - 2015-2026 year. (3.027 sec.) Все материалы представленные на сайте исключительно с целью ознакомления читателями и не преследуют коммерческих целей или нарушение авторских прав - Пожаловаться на публикацию