Главная Случайная страница


Полезное:

Как сделать разговор полезным и приятным Как сделать объемную звезду своими руками Как сделать то, что делать не хочется? Как сделать погремушку Как сделать так чтобы женщины сами знакомились с вами Как сделать идею коммерческой Как сделать хорошую растяжку ног? Как сделать наш разум здоровым? Как сделать, чтобы люди обманывали меньше Вопрос 4. Как сделать так, чтобы вас уважали и ценили? Как сделать лучше себе и другим людям Как сделать свидание интересным?


Категории:

АрхитектураАстрономияБиологияГеографияГеологияИнформатикаИскусствоИсторияКулинарияКультураМаркетингМатематикаМедицинаМенеджментОхрана трудаПравоПроизводствоПсихологияРелигияСоциологияСпортТехникаФизикаФилософияХимияЭкологияЭкономикаЭлектроника






Поляризация при отражении и преломлении





Рассмотрим теперь, как энергия поля падающей волны распределяется между двумя вторичными волнами.

Интенсивность света согласно равна

(Гауссова система).

Поэтому количество энергии в первичной волне, которая падает на единицу площади поверхности раздела за одну секунду, будет равно .

Для отраженной и преломленной волн энергия, покидающая единицу площади поверхности раздела за одну секунду, определяется подобными же выражениями, а именно

, .

Отношения и

называют соответственно отражательный и пропускательной способностью. Легко проверить, что в соответствии с законом сохранения энергии .

Отражательная и пропускательная способности зависят от поляризации падающей волны. Их можно выразить через соответствующие отражательную отражательную и пропускательную способности для света, поляризованного параллельно и перпендикулярно плоскости падения.

Пусть вектор падающей волны образует с плоскостью падения угол a 0. Тогда

, .

Пусть, далее, ; ;

и ; . Тогда где , .

Подобным же образом получим , где

Снова можно показать, что , .

Для нормального падения различие между параллельной и перпендикулярной компонентами исчезает и из, и находим: ; ; .

Отсюда следует, что ; .

 


Р и с. 5.6

Аналогичные результаты получаются также для предельных значений t || и R ||, t ^ и R ^. Это легко увидеть из и, если учесть, что, согласно закону преломления, j 2 ® j 1 при n ® 1. Следовательно, чем меньше различия в оптической плотности обеих сред, тем меньше энергии уносится отраженной волной.

Знаменатели в и конечны, за исключением случая j 1 + j 2 = p /2. Тогда tg(j 1 + j 2) = ¥ и, следовательно, R || = 0. В этом случае (рис. 5.6) отраженный и преломленный лучи перпендикулярны друг другу, а из закона преломления следует (т.к. теперь sin j 2 = sin(p /2 – j 1) = cos j 1), что .

Угол j 1, определяемый этим выражением, называется углом полной поляризации или углом Брюстера. Его важность впервые была отмечена в 1815 г. Давидом Брюстером (1781-1868 г.г.). Если свет падает под этим углом, электрический вектор отраженной волны не имеет составляющей в плоскости падения.

Полученный выше результат, часто называемый законом Брюстера, можно пояснить следующим более прямым рассуждением. Поле падающей волны вызывает колебания электронов в атомах второй среды, которые совершаются в направлении электрического вектора прошедшей волны (по направлению компоненты и ). Колеблющиеся электроны вызывают отраженную волну, которая распространяется обратно в первую среду. Но линейно колеблющийся электрон излучает в основном в направлении, перпендикулярном к направлению колебаний, а по направлению колебаний поток энергии излучения отсутствует. Отсюда следует, что когда отраженный и прошедший лучи перпендикулярны друг другу, то в отраженном луче энергия колебаний в плоскости падения равна нулю.

На рис. 5.7 показана зависимость отражательной способности стекла с показателем преломления 1,52 от угла падения j 1. Числа над верхней горизонтальной линией относятся к углу преломления j 2. Нулевое значение R || в кривой (в) соответствует углу полной поляризации arctg(1,52) = 56°40¢.

Р и с. 5.7

В оптическом диапазоне показатели преломления по отношению к воздуху обычно порядка 1,5, но в радиодиапазоне они значительно больше; поэтому там соответственно велики и углы поляризации. Например, для оптических длин волн показатель преломления воды примерно равен 1,3 и угол поляризации 53°. В радиодиапазоне значение показателя преломления достигает примерно 9, а угол поляризации близок к 84°.

Легко увидеть, что согласно, кривая (б) на рис. 5.7 соответствует α 0 = 45°. Как сейчас будет показано, та же кривая представляет также отражательную способность для естественного света, т.е. для света, испускаемого нагретым телом. Направление колебаний в естественном свете быстро изменяется беспорядочным, случайным образом. Соответствующую отражательную способность можно получить путем усреднения по всем направлениям. Т.к. среднее значение sin2 a 0 и cos2 a 0 равны 1/2, то для средних значений . Однако для отраженного света обе компоненты в общем случае неодинаковы. В самом деле, используя, найдем: , .

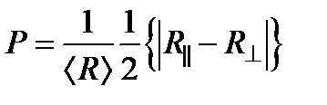
При этом говорят, что отраженный свет частично поляризован, и степень его поляризации P можно определить следующим образом: .

Отражательная способность определится теперь выражением ,

и поэтому она по-прежнему будет описывается кривой (б) на рис. 5.7. Степень поляризации теперь можно выразить в виде ,


выражением в фигурных скобках определяют иногда поляризованную часть отраженного света.

Аналогичные результаты можно получить и для проходящего света. Для естественного света мы также найдем .

Возвращаясь к случаю линейного поляризованного падающего света, мы видим, что отраженный и прошедший свет остается линейно поляризованным, т.к. их фазы либо не изменяются, либо изменяются на p. Однако направления колебаний в отраженном и проходящем свете изменяются относительно направления колебаний в падающем свете в противоположные стороны. Это можно показать следующим образом.

Угол, который обозначили через a 0, т.е. угол между плоскостью колебаний и плоскостью падения, называют азимутом колебаний. Можно предполагать, что азимут изменяется в пределах от – p /2 до p /2. Для падающей, отраженной и прошедшей электрических компонент волн имеем:

, , .

Используя формулы Френеля, найдем ,

. Т.к. 0 £ j 1 £ p /2 и 0 £ j 2 £ p /2, то

, .

Знак равенства в соотношении справедлив лишь при нормальном или скользящем падении (j 1 = j 2 = 0 или j 1 = p /2); в соотношении - лишь при нормальном падении. Эти неравенства показывают, что при отражении угол между плоскостью колебаний и плоскостью падения увеличивается, тогда как при преломлении он уменьшается. На рис. 5.8 показано поведение a 1 и a 2 для n = 1,52 и a 0 = 45°. Мы видим, что когда j 1 равно углу Брюстера 56°40¢, то a 1 = 90°. В самом деле, согласно tg a 1 = ¥ (т.е a 1 = p /2) для j 1 + j 2 = p /2 при любом значении угла a 0.

Р и с. 5.8







Date: 2015-08-06; view: 601; Нарушение авторских прав



mydocx.ru - 2015-2026 year. (1.468 sec.) Все материалы представленные на сайте исключительно с целью ознакомления читателями и не преследуют коммерческих целей или нарушение авторских прав - Пожаловаться на публикацию