Главная Случайная страница


Полезное:

Как сделать разговор полезным и приятным Как сделать объемную звезду своими руками Как сделать то, что делать не хочется? Как сделать погремушку Как сделать так чтобы женщины сами знакомились с вами Как сделать идею коммерческой Как сделать хорошую растяжку ног? Как сделать наш разум здоровым? Как сделать, чтобы люди обманывали меньше Вопрос 4. Как сделать так, чтобы вас уважали и ценили? Как сделать лучше себе и другим людям Как сделать свидание интересным?


Категории:

АрхитектураАстрономияБиологияГеографияГеологияИнформатикаИскусствоИсторияКулинарияКультураМаркетингМатематикаМедицинаМенеджментОхрана трудаПравоПроизводствоПсихологияРелигияСоциологияСпортТехникаФизикаФилософияХимияЭкологияЭкономикаЭлектроника






Электрическая мощность





В электрических цепях и устройствах энергия электрического поля W обычно преобразуется в механическую (в электрических двигателях), световую (в лампах накаливания) и тепловую (в электрических нагревателях) энергию. Скорость процесса преобразования энергии описывается электрической мощностью Р:

В элементах электрических цепей, обладающих активным сопротивлением R, электрическая энергия необратимо преобразуется в тепловую и может быть выражена через напряжение и электрический ток:

Р=UI=I2R=U2/R.

Активная мощность измеряется в Ваттах (Вт).

Электрическая энергия (работа постоянного электрического тока) W выражается как произведение электрической мощности Р на время t:

W=Рt=UIt.

При подключении к источнику напряжения, который обладает внутренним сопротивлением r, активной нагрузки R через нее потечет ток

I=E/(r+R),

и будет выделяться мощность

Р=UI=I2R=E2R/(r+R)2.

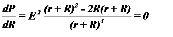
Чтобы выяснить, при каком сопротивлении нагрузки в ней выделяется максимальная мощность, нужно определить производную P по R и приравнять ее нулю:

.

Отсюда r=R, т.е. максимальная мощность выделяется в нагрузке, когда ее сопротивление равно внутреннему сопротивлению источника. Такой режим работы цепи называется согласованным.

При передаче электрической энергии на расстояние часть мощности теряется (рассеивается). Для оценки эффективности линии электропередач служит коэффициент полезного действия (КПД) h, который определяется как отношение выходной мощности (или энергии) устройства к входной мощности (или энергии):

h=РВЫХВХ=WВЫХ/WВХ.

Поскольку выходная мощность (энергия) из-за потерь меньше, чем входная, КПД всегда меньше 1.

 







Date: 2015-07-27; view: 399; Нарушение авторских прав



mydocx.ru - 2015-2026 year. (0.176 sec.) Все материалы представленные на сайте исключительно с целью ознакомления читателями и не преследуют коммерческих целей или нарушение авторских прав - Пожаловаться на публикацию