Главная Случайная страница


Полезное:

Как сделать разговор полезным и приятным Как сделать объемную звезду своими руками Как сделать то, что делать не хочется? Как сделать погремушку Как сделать так чтобы женщины сами знакомились с вами Как сделать идею коммерческой Как сделать хорошую растяжку ног? Как сделать наш разум здоровым? Как сделать, чтобы люди обманывали меньше Вопрос 4. Как сделать так, чтобы вас уважали и ценили? Как сделать лучше себе и другим людям Как сделать свидание интересным?


Категории:

АрхитектураАстрономияБиологияГеографияГеологияИнформатикаИскусствоИсторияКулинарияКультураМаркетингМатематикаМедицинаМенеджментОхрана трудаПравоПроизводствоПсихологияРелигияСоциологияСпортТехникаФизикаФилософияХимияЭкологияЭкономикаЭлектроника






Вибрация





Изделия часто работают в условиях вибрации. Ее источники – двигатели, вооружение. Закон вибрации близок к синусу. Параметры вибрации:

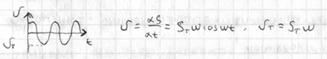
  1. Изменение положения массы (амплитуда) S.

  1. Изменение смещения – виброскорость v.

  1. Ускорение.

  1. Коэффициент перегрузки.

, a – амплитуда ускорения.

  1. Параметры.

w=2π*v, a=4π2*v2*S,

  1. При планировании испытаний S выражают в милиметрах.

Виды вибрации по вектору амплитуды:

  1. Прямолинейная (горизонтальная и вертикальная) – 1 координата.
  2. Плоскостная (круговая, эллиптическая, наклонная) – 2 координаты.
  3. Объемная – по 3 координаты.

 

Виды вибраций по характеру гармоник:

  1. Гармоническая синусоидальная.
  2. Полигармоническая – много гармоник.

 

Действие вибрации на железо: при вибрации возникают инерциальные силы. Они знакопеременные и приводят к:

- поломкам из-за высоких нагрузок;

- поломкам механизмов из-за большой амплитуды;

- высоким усталостным напряжениям;

- резонансу (очень плохо);

- ухудшению точности;

- самоотвинчиванию резьбы.

 







Date: 2015-07-27; view: 484; Нарушение авторских прав



mydocx.ru - 2015-2026 year. (0.594 sec.) Все материалы представленные на сайте исключительно с целью ознакомления читателями и не преследуют коммерческих целей или нарушение авторских прав - Пожаловаться на публикацию