Главная Случайная страница


Полезное:

Как сделать разговор полезным и приятным Как сделать объемную звезду своими руками Как сделать то, что делать не хочется? Как сделать погремушку Как сделать так чтобы женщины сами знакомились с вами Как сделать идею коммерческой Как сделать хорошую растяжку ног? Как сделать наш разум здоровым? Как сделать, чтобы люди обманывали меньше Вопрос 4. Как сделать так, чтобы вас уважали и ценили? Как сделать лучше себе и другим людям Как сделать свидание интересным?


Категории:

АрхитектураАстрономияБиологияГеографияГеологияИнформатикаИскусствоИсторияКулинарияКультураМаркетингМатематикаМедицинаМенеджментОхрана трудаПравоПроизводствоПсихологияРелигияСоциологияСпортТехникаФизикаФилософияХимияЭкологияЭкономикаЭлектроника






Структура комплексного процесса и порядок проведения очистки полости, испытаний, осушки и заполнения азотом участков ЛЧ МГ в талых, сезонно-мерзлых и многолетнемерзлых грунтах





 

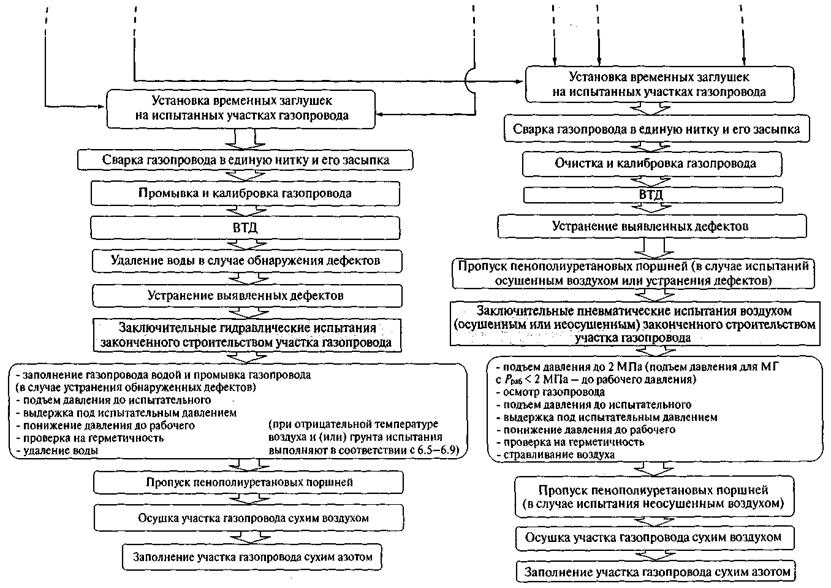
9.1 Структура комплексного процесса и порядок проведения очистки полости, предварительных испытаний участков ЛЧ МГ, заключительного этапа испытаний участка газопровода, его осушки и заполнения азотом в талых, сезонно-мерзлых и многолетнемерзлых грунтах приведена на рисунках 1 и 2 соответственно.

Типовые технологические схемы заполнения газопроводов водой, промывки, гидрав­лических испытаний, удаления воды, пропуска очистных, разделительных и пенополиуретановых поршней по участкам газопроводов приведены на рисунке Б.1 (приложение Б).

Типовые технологические схемы заполнения газопровода водой, гидравлических испытаний, удаления воды без пропуска очистных и разделительных поршней приведены на рисунке Б.2 (приложение Б).

Типовые технологические схемы продувки участков газопроводов с использованием пенополиуретановых поршней и их пневматических испытаний приведены на рисунке Б.3 (приложение Б).

9.2 Не позднее чем за двое суток до начала предварительных испытаний участков ЛЧ МГ подрядчик должен получить разрешение на проведение работ по форме А.1 (при­ложение А).

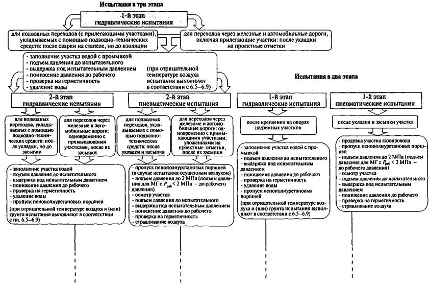
9.3 Первый этап испытаний в три этапа подводных переходов с прилегающими учас­тками, укладываемых с помощью подводно-технических средств (после сварки переходов на стапеле или на площадке, но до изоляции), и переходов через железные и автомобильные дороги, включающих прилегающие участки (после укладки на проектные отметки), выполня­ют гидравлическим способом в соответствии с таблицей 2, с учетом примечания 9 к ней для участков газопроводов с ММГ.

Испытания переходов выполняют в следующей последовательности:

- заполняют переход водой с одновременной промывкой в соответствии с 7.7 и 7.8;

- поднимают давление в нем до испытательного;

- выдерживают участок газопровода под испытательным давлением;

- понижают давление до рабочего;

- проводят проверку на герметичность;

- удаляют воду.

При отрицательных температурах атмосферного воздуха гидравлическое испытание переходов проводят с учетом 6.5-6.9.

Второй этап испытаний участков газопроводов в три этапа допускается выполнять как гидравлическим, так и пневматическим способом.

Гидравлические испытания подводных переходов, укладываемых с помощью подводно-технических средств, проводят после их укладки, но до засыпки, а пневматические - после укладки и засыпки.

Переходы через железные и автомобильные дороги испытывают гидравлически или пневматически одновременно с примыкающими участками (согласно СТО Газпром 2-2.1-249 (пункт 3б таблицы 2) или СНиП 2-05-06-85*[4] (пункт 3е таблицы 3)) после засыпки.

Участки газопроводов, проложенные в ММГ, на втором этапе испытаний в три этапа испытывают пневматическим способом осушенным воздухом.

 

9.4.1 Гидравлические испытания переходов газопровода выполняют в следующей последовательности:

- заполняют переход газопровода водой;

- поднимают в нем давление до испытательного;

- выдерживают под испытательным давлением;

- понижают давление до рабочего;

- проводят проверку на герметичность;

- удаляют воду.

В случае отрицательных температур воздуха и (или) грунта испытания выполняют с учетом

6.5-6.9.

На участках газопроводов с ММГ непосредственно после удаления воды по ним про­пускают пенополиуретановые поршни. На участках газопроводов с талыми и сезонно-мерзлыми грунтами, если на заключительном этапе испытания переходов газопровода будет применен пневматический способ, то непосредственно после удаления воды по ним пропускают пенополиуретановые поршни.

9.4.2 Пневматические испытания переходов газопровода выполняют в следующей последовательности:

- по переходу пропускают пенополиуретановые поршни (в случае применения для испытаний осушенного воздуха или на участках с ММГ);

- поднимают давление в переходе до 2 МПа (подъем давления для МГ с Р раб < 2 МПа - до рабочего давления);

- проводят его осмотр;

- поднимают давление до испытательного;

- выдерживают под испытательным давлением;

 

 

Рисунок 1, лист 1 - Структура комплексного процесса и порядок проведения очистки полости, предварительных испытаний участков ЛЧ МГ, заключительного этапа испытаний участков газопровода, их осушки и заполнения азотом в талых и сезонно-мерзлых грунтах

 

 

Рисунок 1, лист 2

 

 

Рисунок 2, лист 1 - Структура комплексного процесса и порядок проведения очистки полости, предварительных испытаний участков ЛЧ МГ, заключительного этапа испытаний участков газопровода, их осушки и заполнения азотом, в многолетнемерзлых грунтах


 

 

Рисунок 2, лист 2

 

 

- понижают давление до рабочего;

- выполняют проверку на герметичность.

9.4.3 По окончании второго этапа испытаний переходов газопровода на них устанавливают герметичные временные заглушки.

9.5 Первый этап испытаний участков газопроводов в два этапа допускается выполнять как гидравлическим, так и пневматическим способом (газопроводы с рабочим давлением выше 11,8 МПа и надземные газопроводы испытывают гидравлическим способом).

Испытания проводят после укладки и засыпки подземных участков или монтажа на опорах надземных участков газопроводов.

Участки, проложенные в ММГ, на первом этапе испытаний в два этапа испытывают пневматическим способом осушенным воздухом.

9.5.1 Гидравлические испытания участков газопровода, прокладываемых в талых и сезонно-мерзлых грунтах, выполняют в следующей последовательности:

- испытываемый участок заполняют водой (в случае пневматических испытаний на заключительном этапе проводят промывку в соответствии с 7.7);

- поднимают давление до испытательного;

- выдерживают участок газопровода под испытательным давлением;

- понижают давление в участке до рабочего;

- проводят проверку на герметичность;

- удаляют воду.

При отрицательных температурах воздуха и (или) грунта участки трубопровода испытывают с учетом 6.5-6.9.

В случае если на заключительном этапе испытаний будет применен пневматический способ, после первого этапа испытаний участка ЛЧ МГ в два этапа по нему пропускают пено -полиуретановые поршни в соответствии с 7.21.

9.5.2 Гидравлические испытания надземных участков, находящихся в составе газопроводов, прокладываемых в многолетнемерзлых грунтах, выполняют после их крепления на опорах в следующей последовательности:

- заполняют участок водой с одновременной его промывкой;

- поднимают давление в нем до испытательного;

- выдерживают участок газопровода под испытательным давлением;

- понижают давление до рабочего;

- проводят проверку на герметичность;

- удаляют воду;

- пропускают пенополиуретановые поршни.

9.5.3 Перед пневматическими испытаниями участка газопровода его продувают в соответствии с 7.9 и пропускают по нему пенополиуретановые поршни в соответствии с 7.21.

9.5.4 Пневматические испытания участков газопроводов, прокладываемых в талых и сезонно-мерзлых грунтах, выполняют в следующей последовательности:

- поднимают давление в испытываемом участке газопровода до 2 МПа (подъем давления для МГ с Р раб < 2 МПа - до рабочего давления);

- проводят его осмотр;

- поднимают давление до испытательного;

- выдерживают газопровод под испытательным давлением;

- понижают давление до рабочего и проверяют на герметичность;

- стравливают воздух из участка.

9.5.5 В случае пневматических испытаний неосушенным воздухом по участку газопровода после завершения испытаний пропускают пенополиуретановые поршни.

При пневматических испытаниях участков газопроводов, проложенных в многолетнемерзлых грунтах, после завершения испытаний пенополиуретановые поршни не пропускают.

9.5.6 По окончании первого этапа испытаний в два этапа на испытанные участки газопровода устанавливают герметичные временные заглушки.


9.5.7 Результаты предварительных испытаний газопроводов на прочность и проверки на герметичность, а также удаления воды (стравливания воздуха) из газопровода отражают в акте по форме А.4 (приложение А).

9.6 Заключительный этап испытаний законченного строительством участка газопровода допускается выполнять как гидравлическим, так и пневматическим способом (для участков ЛЧ МГ, проложенных в многолетнемерзлых грунтах, - только пневматическим способом осушенным воздухом) после сварки участков газопровода всех категорий в единую нитку, их укладки, засыпки, обвалования или крепления на опорах, установки арматуры, манометров и катодных выводов, очистки участка газопровода, промывки в соответствии с 7.8 и продувки в соответствии с 7.9, калибровки в соответствии с 7.15 и ВТД в соответствии с 7.16 и 7.20, пропуска пенополиуретановых поршней в соответствии с 7.21. В случае необходимости после ВТД устраняют выявленные дефекты.

9.6.1 Заключительный этап испытания участка газопровода гидравлическим способом выполняют в следующей последовательности:

- заполняют участок газопровода водой и промывают его (в случае устранения обнаруженных дефектов);

- поднимают давление до испытательного;

- выдерживают под испытательным давлением;

- понижают давление до рабочего;

- проводят проверку на герметичность;

- удаляют воду;

- пропускают пенополиуретановые поршни под давлением сжатого осушенного воздуха.

Гидравлические испытания в условиях отрицательных температур воздуха и (или) грунта следует выполнять с учетом 6.5-6.9.

Результаты гидравлических испытаний газопроводов на прочность, проверки на герметичность и удаления воды из газопроводов отражают в акте по форме А.5 (приложение А).

После пропуска пенополиуретановых поршней проводят осушку участка газопровода сухим воздухом до ТТР минус 20 °С. Типовая технологическая схема осушки участка газопровода сухим воздухом приведена на рисунке Б.9 (приложение Б).

В случае разрыва газопровода в процессе гидравлического испытания поврежденный участок ремонтируют, заполняют и промывают водой и испытывают повторно.

9.6.2 Пневматические испытания участка газопровода выполняют в следующей последовательности:

- поднимают давление в участке газопровода до 2 МПа (подъем давления для МГ с Р раб < 2 МПа - до рабочего давления);

- проводят его осмотр;

- поднимают давление до испытательного;

- выдерживают под испытательным давлением;

- понижают давление до рабочего;

- проверяют на герметичность;

- стравливают воздух.

В случае разрыва участка газопровода в процессе пневматического испытания пов­режденный участок ремонтируют, очищают и испытывают повторно.

9.6.3 Сухой воздух, стравливаемый при понижении давления с испытательного до рабочего, целесообразно использовать для осушки подготовленного для испытаний соседнего участка газопровода, пропуская воздух по нему на открытую свечу. По окончании пневматических испытаний для участков, испытываемых на давление более 5 МПа, воздух из участка газопровода стравливают с рабочего давления до 5 МПа без ограничения скорости стравливания, далее поэтапно, с выдержкой на каждой ступени, или плавно, со скоростью снижения давления не более 0,1 МПа в час (стравливаемый воздух может быть перепущен в соседний участок газопровода). Для газопроводов, испытываемых на давлении менее 5 МПа, воздух из участка газопровода стравливают плавно с указанной выше скоростью снижения давления.


Типовая технологическая схема стравливания воздуха из участка газопровода после пневматических испытаний приведена на рисунке Б. 10 (приложение Б).

9.6.4 После стравливания воздуха выполняют осушку участка газопровода сухим воз­духом до ТТР минус 20 °С (минус 30 °С - для участков газопроводов, проложенных в многолетнемерзлых грунтах).

Типовая технологическая схема осушки участка газопровода сухим воздухом приведена на рисунке Б.9 (приложение Б).

Осушенный газопровод заполняют сухим азотом с концентрацией не менее 98 % с ТТР минус 20 °С (минус 30 °С - для участков газопроводов, проложенных в многолетнемерзлых грунтах) до избыточного давления 0,02 МПа.

Типовая технологическая схема заполнения участков газопровода азотом приведена на рисунке Б. 11 (приложение Б).

 







Date: 2015-07-27; view: 1301; Нарушение авторских прав



mydocx.ru - 2015-2026 year. (0.231 sec.) Все материалы представленные на сайте исключительно с целью ознакомления читателями и не преследуют коммерческих целей или нарушение авторских прав - Пожаловаться на публикацию