Главная Случайная страница


Полезное:

Как сделать разговор полезным и приятным Как сделать объемную звезду своими руками Как сделать то, что делать не хочется? Как сделать погремушку Как сделать так чтобы женщины сами знакомились с вами Как сделать идею коммерческой Как сделать хорошую растяжку ног? Как сделать наш разум здоровым? Как сделать, чтобы люди обманывали меньше Вопрос 4. Как сделать так, чтобы вас уважали и ценили? Как сделать лучше себе и другим людям Как сделать свидание интересным?


Категории:

АрхитектураАстрономияБиологияГеографияГеологияИнформатикаИскусствоИсторияКулинарияКультураМаркетингМатематикаМедицинаМенеджментОхрана трудаПравоПроизводствоПсихологияРелигияСоциологияСпортТехникаФизикаФилософияХимияЭкологияЭкономикаЭлектроника






Относительные показатели вариации





Для сравнения показателей вариации разных признаков, имеющих существенное различие в уровнях признаков, и для оценки интенсивности вариации используются относительные показатели вариации. Базой для сравнения служит средняя арифметическая. Различают следующие относительные показатели:

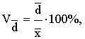
1) относительный размах вариации (коэффициент осцилляции):

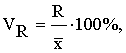
2) относительное линейное отклонение (линейный коэффициент вариации):

3) коэффициент вариации:

В коэффициенте вариации устраняется не только несопоставимость, связанная с различными единицами измерения изучаемого признака, но и несопоставимость, которая возникает вследствие различия величин средних арифметических. Коэффициент вариации пригоден для сравнения колеблемости различных по своему характеру и размеру и V, которые являются известными “мерилами” надежности средних. Чем меньше их значение, тем однороднее изучаемая совокупность и надежнее полученная средняя.







Date: 2015-07-27; view: 569; Нарушение авторских прав



mydocx.ru - 2015-2026 year. (0.601 sec.) Все материалы представленные на сайте исключительно с целью ознакомления читателями и не преследуют коммерческих целей или нарушение авторских прав - Пожаловаться на публикацию