Главная Случайная страница


Полезное:

Как сделать разговор полезным и приятным Как сделать объемную звезду своими руками Как сделать то, что делать не хочется? Как сделать погремушку Как сделать так чтобы женщины сами знакомились с вами Как сделать идею коммерческой Как сделать хорошую растяжку ног? Как сделать наш разум здоровым? Как сделать, чтобы люди обманывали меньше Вопрос 4. Как сделать так, чтобы вас уважали и ценили? Как сделать лучше себе и другим людям Как сделать свидание интересным?


Категории:

АрхитектураАстрономияБиологияГеографияГеологияИнформатикаИскусствоИсторияКулинарияКультураМаркетингМатематикаМедицинаМенеджментОхрана трудаПравоПроизводствоПсихологияРелигияСоциологияСпортТехникаФизикаФилософияХимияЭкологияЭкономикаЭлектроника






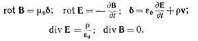
Полная система уравнений электромагнитного поля





Векторы D и Е электрического поля и соответственно векторы В и Н магнитного поля связаны через электрическую постоянную н магнитную постоянную соотношениями:

Таким образом, полная система уравнений электромагнитного поля в этом случае имеет вид

 

Используя связи D = Е и В = Н, можно эти уравнения переписать так, чтобы они содержали только векторы Е и В. Эти векторы следует рассматривать как основные векторы электромаг­нитного поля.

уравне­ния Пуассона

 

частный случай при отсутствии заряда - уравнение Лапласа.

Граничное условие для поля в диэлектрике на поверхности провод­ника может быть записано в виде U = const или, что то же, Et = 0, Е = Е n = —дU/дп. При этом D = e Е = — e (дU/дп) = s, где s — плот­ность электрического заряда на поверхности проводника.

 

на поверхности раздела диэлектриков равны касательные составляющие вектора Е и равны нормальные составляющие век­тора D.

 

 







Date: 2015-07-27; view: 612; Нарушение авторских прав



mydocx.ru - 2015-2026 year. (0.919 sec.) Все материалы представленные на сайте исключительно с целью ознакомления читателями и не преследуют коммерческих целей или нарушение авторских прав - Пожаловаться на публикацию