Главная Случайная страница


Полезное:

Как сделать разговор полезным и приятным Как сделать объемную звезду своими руками Как сделать то, что делать не хочется? Как сделать погремушку Как сделать так чтобы женщины сами знакомились с вами Как сделать идею коммерческой Как сделать хорошую растяжку ног? Как сделать наш разум здоровым? Как сделать, чтобы люди обманывали меньше Вопрос 4. Как сделать так, чтобы вас уважали и ценили? Как сделать лучше себе и другим людям Как сделать свидание интересным?


Категории:

АрхитектураАстрономияБиологияГеографияГеологияИнформатикаИскусствоИсторияКулинарияКультураМаркетингМатематикаМедицинаМенеджментОхрана трудаПравоПроизводствоПсихологияРелигияСоциологияСпортТехникаФизикаФилософияХимияЭкологияЭкономикаЭлектроника






Элементарные функции комплексной переменной





1. Степенная функция w = z n, n - натуральное. Определена, однозначна и аналитична на всей плоскости С.

2. Показательная функция w = e z.

Кратко перечислим свойства этой функции.
1. Функция w = e z аналитична на всей плоскости С, и (e z )’ = e z (доказано в разделе 19.3.3. Примеры вычисления производных).
2. e ze z 2 = e z 1 + z 2 (проверяется непосредственно).
3. Функция w = e z периодическая, с мнимым основным периодом 2π i (e i = cos(2π) + i sin(2π) = 1, e z + 2π i = e z · e i = e z).

3. Тригонометрические функции. Определим эти функции соотношениями , .

4. Гиперболические функции. Эти функции определяются соотношениями , .

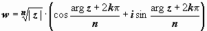
5. Функция . Это n -значная функция (раздел 19.1.3), все значений которой даются формулами , k = 0, 1, 2, …, n -1. Функция определяется равенством .

6. Логарифмическая функция w = Ln z определяется при z ≠ 0 как функция, обратная показательной: w = Ln z, если z = e w. Если w = u + iv, то последнее равенство означает, что e w = e u + iv = e ue iv = z = | z | e i Arg z, откуда e u = | z | ⇒ u = ln | z |; v = Arg z = arg z + 2 k π i. Таким образом, Ln z = ln| z | + i (arg z + 2 k π), k = 0, ±1, ±2, ±3,... - функция многозначная (бесконечнозначная); её значение при k = 0 называется главным и обозначается ln z: = ln | z | + i arg z. Так,ln (−5) = ln |−5| + i arg (−5) = ln 5 + π i, Ln (−5) = Ln |−5| + i arg (−5) + 2 k π i = ln 5 + i π(2 k + 1), где k - произвольное целое число.

7. Общая показательная a z и общая степенная z a (z, a - произвольные комплексные числа, z, a ≠ 0, a = const) функции определяются соотношениями a z = e Ln a, z a = e Ln z,и,следовательно, бесконечнозначны.

8. Обратные тригонометрические и обратные гиперболические функции определяются так же, как и в действительном случае (w = Ar sh z, если sh z = w, например), и выражаются через Ln z.







Date: 2015-07-27; view: 1091; Нарушение авторских прав



mydocx.ru - 2015-2026 year. (0.346 sec.) Все материалы представленные на сайте исключительно с целью ознакомления читателями и не преследуют коммерческих целей или нарушение авторских прав - Пожаловаться на публикацию