Главная Случайная страница


Полезное:

Как сделать разговор полезным и приятным Как сделать объемную звезду своими руками Как сделать то, что делать не хочется? Как сделать погремушку Как сделать так чтобы женщины сами знакомились с вами Как сделать идею коммерческой Как сделать хорошую растяжку ног? Как сделать наш разум здоровым? Как сделать, чтобы люди обманывали меньше Вопрос 4. Как сделать так, чтобы вас уважали и ценили? Как сделать лучше себе и другим людям Как сделать свидание интересным?


Категории:

АрхитектураАстрономияБиологияГеографияГеологияИнформатикаИскусствоИсторияКулинарияКультураМаркетингМатематикаМедицинаМенеджментОхрана трудаПравоПроизводствоПсихологияРелигияСоциологияСпортТехникаФизикаФилософияХимияЭкологияЭкономикаЭлектроника






Прохождение сигналов через линейные цепи с постоянными параметрами





2.1. Определение линейной цепи.

Электрическая цепь осуществляет преобразование сигналов, поступающих на ее вход. Поэтому в самом общем случае математическую модель цепи можно задать в виде соотношения между входным воздействием Sвх(t) и выходной реакцией Sвых(t):

Sвых(t)=TSвх(t),

где Т - оператор цепи.

На основании фундаментальных свойств оператора можно сделать заключение о наиболее существенных свойствах цепей.

1. Если оператор цепи Т не зависит от амплитуды воздействия, то цепь называется линейной. Для такой цепи справедлив принцип суперпозиции, отражающей независимость действия нескольких входных воздействий:

T[Sвх1(t)+ Sвх2(t)+...+ Sвхn(t)]=TSвх1(t)+TSвх2(t)+...+TSвхn(t) (1)

Очевидно, что при линейном преобразовании сигналов в спектре отклика нет колебаний с частотами, отличными от частот спектра воздействий.

Класс линейных цепей образуют как пассивные цепи, состоящие из разисторов, конденсаторов, индуктивностей, так и активные цепи, включающие еще и транзисторы, лампы и т.п. Но в любой комбинации этих элементов их параметры не должны зависеть от амплитуды воздействия.

2. Если сдвиг входного сигнала во времени приводит к такому же сдвигу выходного сигнала, т.е.

Sвых(t t0)=TSвх(t t0), (2)

то цепь называют стационарной. Свойство стационарности не распространяется на цепи, содержащие элементы с переменными во времени параметрами (индуктивности, конденсаторы и т.п.).

 

2.2. Дельта - функция - как пример пробного сигнала.

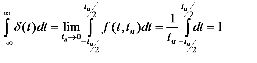
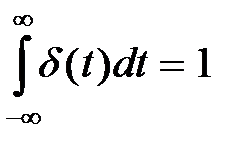
Для анализа прохождения сигналов через электрические цели широко используются пробные сигналы, обладающие какими - либо характерными свойствами. Такой функцией, в частности, является дельта-функция d(t), обращающаяся в ноль при t¹0 и в бесконечность при t=0, так, что

(3).

Этому определению удовлетворяет, например, прямоугольный импульс длительностью tu , амплитуда которого обратно пропорциональна его длительности 1/tu . При tu® 0 амплитуда импульса бесконечно растет, а площадь остается постоянной - равной единице. Действительно, если

то дельта-функцию можно определить как d(t)=

При этом

В более общем случае дельта-функцию можно записать в виде

(4)

Спектральную плотность дельта-импульса A d(t) найдем с помощью прямого преобразования Фурье:

(5)

 

На основании определения дельта-функции интервал интегрирования в формуле (5) можно сделать сколь угодно малым, лишь бы он включал в себя момент t=0. В пределе он может быть устремлен к нулю и подъинтегральная функция ejwt примет значение, равное единице. Таким образом . Следовательно, спектральная плотность дельта-импульса имеет равномерный частотный спектр. ФЧХ дельта-импульса равна нулю для всех частот. Это означает, что все гармонические составляющие начинаются с одной фазы и образуют бесконечный пик при t=0.

По определению, дельта-функция обладает свойством, которое может быть выражено соотношением

(6)

Его называют фильтрующим свойством дельта-функции, согласно которому интеграл от произведения произвольной функции на d(t-t0) равен значению этой функции в точке t=t0 .

На основании обратного преобразования Фурье выразим дельта-функцию через ее спектр:

d(t)= (7)

По аналогии с (7) можно ввести дельта-функцию аргумента w

d(w)= (8)

В (8) знак показателя экспоненты не влияет на значение интеграла, поскольку и независимо от знака интеграл от нечетной функции sin на симметричном интервале интегрирования равен нулю. Поэтому можно записать

d(w)= (9)

 







Date: 2015-07-27; view: 981; Нарушение авторских прав



mydocx.ru - 2015-2026 year. (0.496 sec.) Все материалы представленные на сайте исключительно с целью ознакомления читателями и не преследуют коммерческих целей или нарушение авторских прав - Пожаловаться на публикацию