Главная Случайная страница


Полезное:

Как сделать разговор полезным и приятным Как сделать объемную звезду своими руками Как сделать то, что делать не хочется? Как сделать погремушку Как сделать так чтобы женщины сами знакомились с вами Как сделать идею коммерческой Как сделать хорошую растяжку ног? Как сделать наш разум здоровым? Как сделать, чтобы люди обманывали меньше Вопрос 4. Как сделать так, чтобы вас уважали и ценили? Как сделать лучше себе и другим людям Как сделать свидание интересным?


Категории:

АрхитектураАстрономияБиологияГеографияГеологияИнформатикаИскусствоИсторияКулинарияКультураМаркетингМатематикаМедицинаМенеджментОхрана трудаПравоПроизводствоПсихологияРелигияСоциологияСпортТехникаФизикаФилософияХимияЭкологияЭкономикаЭлектроника






Продолжение описания решения Задания 6





Для ячеек D16:Е16определите стандартное отклонение - меру того, насколько широко разбросаны точки данных относительно их среднего.

Синтаксис функции СТАНДОТКЛОН (число1; число2;...)

Аргументы функции СТАНДОТКЛОН

· Число1, число2,... — от 1 до 30 числовых аргументов, соответствующих выборке из генеральной совокупности. Вместо аргументов, разделенных точкой с запятой, можно также использовать массив или ссылку на массив.

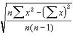
СТАНДОТКЛОН использует следующую формулу:       (3.6)

 

Вид окна функции СТАНДОТКЛОН для ячейки С16 приведен на рис. 3.12, а полученный результат – на рис. 3.14

 

F СТАНДОТКЛОН предполагает, что аргументы являются только выборкой из генеральной совокупности. Если данные представляют всю генеральную совокупность, то стандартное отклонение следует вычислять с помощью функции СТАНДОТКЛОНП.

Стандартное отклонение вычисляется с использованием " несмещенного " или " n-1 " метода.

F Логические значения, такие как ИСТИНА или ЛОЖЬ, а также текст игнорируются. Если текст и логические значения игнорироваться не должны, следует использовать функцию рабочего листа СТАНДОТКЛОНА.

Рис. 3. 12. Окно функции СТАНДОТКЛ для расчета насколько разбросаны точки данных относительно их среднего значения

· Для ячеек D17:F17определите доверительный интервал - это интервал с обеих сторон от среднего.

Синтаксис функции ДОВЕРИТ (Альфа; Станд_откл; Размер)

Аргументы функции ДОВЕРИТ

· Альфа — это уровень значимости, используемый для вычисления уровня надежности. Уровень надежности равняется 100*(1 - альфа) процентам, или, другими словами, альфа равное 0,05 означает 95% уровень надежности.

· Станд_откл — это стандартное отклонение генеральной совокупности для интервала данных, предполагается известным.

· Размер — это размер выборки.

F Если какой-либо из аргументов не является числом, то функция ДОВЕРИТ возвращает значение ошибки #ЗНАЧ!.

Если Альфа ≤ 0 или Альфа ≥ 1, то функция ДОВЕРИТ возвращает значение ошибки #ЧИСЛО!.

Если Станд _ откл ≤ 0, то функция ДОВЕРИТ возвращает значение ошибки #ЧИСЛО!.

Если размер не целое, то оно усекается.

Если размер < 1, то функция ДОВЕРИТ возвращает значение ошибки #ЧИСЛО!.

Предположим, что в нашем примере среднемесячный товарооборот 279 млн. руб. со стандартным отклонением для генеральной совокупности равным 57 млн. руб. В таком случае, мы можем быть на 95 процентов уверены в том, что среднее для генеральной совокупности находится в интервале: ± 32 млн. руб.

Вид окна функции ДОВЕРИТ для ячейки С16, приведен на рис. 3.13, а полученное значение на рис. 3.14.

F Внимание. Для расчета доверительного интервала для столбцов D и Е в поле Размер надо вводить значение ячейки А14, так как в расчетах используется 13 значений.

Рис. 3. 13. Окно функции ДОВЕРИТ для расчета интервала разброса данных от среднего значения

Таблица, полученная в результате всех вычислений, приведена на рис 3.14.

Самостоятельно сделайте выводы о том, в каких случаях можно применять те или иные методы статистического анализа.

Рис. 3. 14. Итоговая таблица с результатами вычислений







Date: 2015-07-27; view: 602; Нарушение авторских прав



mydocx.ru - 2015-2026 year. (0.496 sec.) Все материалы представленные на сайте исключительно с целью ознакомления читателями и не преследуют коммерческих целей или нарушение авторских прав - Пожаловаться на публикацию