Главная Случайная страница


Полезное:

Как сделать разговор полезным и приятным Как сделать объемную звезду своими руками Как сделать то, что делать не хочется? Как сделать погремушку Как сделать так чтобы женщины сами знакомились с вами Как сделать идею коммерческой Как сделать хорошую растяжку ног? Как сделать наш разум здоровым? Как сделать, чтобы люди обманывали меньше Вопрос 4. Как сделать так, чтобы вас уважали и ценили? Как сделать лучше себе и другим людям Как сделать свидание интересным?


Категории:

АрхитектураАстрономияБиологияГеографияГеологияИнформатикаИскусствоИсторияКулинарияКультураМаркетингМатематикаМедицинаМенеджментОхрана трудаПравоПроизводствоПсихологияРелигияСоциологияСпортТехникаФизикаФилософияХимияЭкологияЭкономикаЭлектроника






З-ны распределения





Рассмотрим законы распределения случайной величины Т, где Т - время безотказной работы изделия до первого отказа (время наработки на отказ).

Экспоненциальный закон надёжности.

При экспоненциальном законе распределения времени безотказной Т интенсивность отказов

является постоянной, т.е.

λ(t) = λ = const.

Выпишем формулы по которым определяются количественные характеристики надёжности. Экспоненциальный закон надёжности справедлив для описания внезапных отказов, когда изделие не успевает ещё износиться, т.е. не стареет. Для экспоненциального закона вероятность безотказной работы на каком-то интервале времени τ не зависит от прошедшего времени, а зависит от τ.

t1 = t + τ; P(t, t1)=P(t1)/P(t)=P(t+ τ)/P(t)=e(ст. – λ/(t+ τ)/e(ст. – λ/t)=e(ст. – λ/t)

Здесь P(t, t1) - вероятность безотказной работы изделия на интервале времени (t, t1) при

условии, что на интервале времени (0, t) изделие работало безотказно.

Нормальный закон распределения.

Он характеризует вероятность отказа при длительном изменении характеристик изделия (старение, износ). Нормальный закон распределения характеризует распределение времени безотказной работы изделия при возникновении отказов из-за износа и старения. Плотность распределения времени безотказной работы Т изделия равна: f (t)=(1/(кор(2 πDt))e(ст.(t-mt)^ 2/(2Dt)

где mt, Dt - параметры закона распределения.

mt - среднее значение случайной величины Т;

Dt - дисперсия случайной величины Т;

Для нормального закона распределения q(t) примет вид

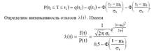
Определим вероятность безотказной работы изделия в интервале времени (t, t1)

Закон распределения Вейбулла.

Для распределения Вейбулла плотность распределения времени безотказной работы Т

изделия имеет вид

f(t) ak tk e atk = −1 −; здесь а и k - параметры закона распределения Вейбулла.

Определим q(t). Имеем

Определим среднее время безотказной работы. Имеем

 







Date: 2015-07-25; view: 381; Нарушение авторских прав



mydocx.ru - 2015-2026 year. (0.186 sec.) Все материалы представленные на сайте исключительно с целью ознакомления читателями и не преследуют коммерческих целей или нарушение авторских прав - Пожаловаться на публикацию