Главная Случайная страница


Полезное:

Как сделать разговор полезным и приятным Как сделать объемную звезду своими руками Как сделать то, что делать не хочется? Как сделать погремушку Как сделать так чтобы женщины сами знакомились с вами Как сделать идею коммерческой Как сделать хорошую растяжку ног? Как сделать наш разум здоровым? Как сделать, чтобы люди обманывали меньше Вопрос 4. Как сделать так, чтобы вас уважали и ценили? Как сделать лучше себе и другим людям Как сделать свидание интересным?


Категории:

АрхитектураАстрономияБиологияГеографияГеологияИнформатикаИскусствоИсторияКулинарияКультураМаркетингМатематикаМедицинаМенеджментОхрана трудаПравоПроизводствоПсихологияРелигияСоциологияСпортТехникаФизикаФилософияХимияЭкологияЭкономикаЭлектроника






Обратимые реакции





Предположим, вещество A может превращаться в вещество B, а оно, в свою очередь, обратно переходит в вещество A. Изменение концентрации вещества A обусловлено одновременным протеканием двух реакций: распада A со скоростью k 1[A] и его образования со скоростью k 2[B]. Скорость изменения концентрации вещества A равна разности этих величин:

(8)

Надо сказать, что чем сложнее схема реакции, тем сложнее соответствующая система уравнений, и преобразования могут стать довольно громоздкими. Поэтому в дальнейшем мы наряду с распространенным обозначением концентрации будем использовать переменные в виде малых латинских букв, т.е. a вместо [A], b вместо [B] и т

Концентрацию b находим из уравнения 6 материального баланса и подставляем в уравнение 8.

(9)

или, используя новые, более компактные обозначения:

(10)

Произведём разделение переменных:

(10)

и интегрирование в пределах от ao до a и от 0 до t:

(11)

 

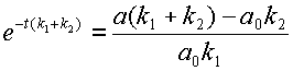
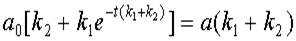
После преобразований получаем весьма громоздкое выражение для значения концентрации субстрата:

откуда

(12)

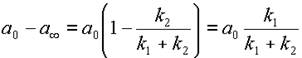
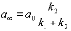
Это выражение можно несколько упростить, если ввести понятие равновесной концентрации вещества A: при .

(13)

Из уравнения 12 получаем,

(14)

Что вместе с 12 дает:

С другой стророны, из уравнения 13 находим

(15)

Разделив уравнение 14 на 15, получаем очень интересное выражение:

(16)

 

Откуда

На рис. 2 приведены кривые кинетики (изменения во времени концентраций) для веществ A и B в случае обратимого процесса. Анализ этих кривых, если они получены экспериментально, сразу позволяет найти отношение констант скоростей k1 / k2. Чтобы определить сами скорости, необходимо построить график в виде линейной анаморфозы (см. ниже).

Рис. 2. Кинетика обратимой мономолекулярной реакции По отношению отрезков ординат для a при достижении равновесия () находим соотношение констант прямой и обратной реакции. (см. уравнение 16)






Date: 2015-07-24; view: 546; Нарушение авторских прав



mydocx.ru - 2015-2026 year. (0.302 sec.) Все материалы представленные на сайте исключительно с целью ознакомления читателями и не преследуют коммерческих целей или нарушение авторских прав - Пожаловаться на публикацию