Главная Случайная страница


Полезное:

Как сделать разговор полезным и приятным Как сделать объемную звезду своими руками Как сделать то, что делать не хочется? Как сделать погремушку Как сделать так чтобы женщины сами знакомились с вами Как сделать идею коммерческой Как сделать хорошую растяжку ног? Как сделать наш разум здоровым? Как сделать, чтобы люди обманывали меньше Вопрос 4. Как сделать так, чтобы вас уважали и ценили? Как сделать лучше себе и другим людям Как сделать свидание интересным?


Категории:

АрхитектураАстрономияБиологияГеографияГеологияИнформатикаИскусствоИсторияКулинарияКультураМаркетингМатематикаМедицинаМенеджментОхрана трудаПравоПроизводствоПсихологияРелигияСоциологияСпортТехникаФизикаФилософияХимияЭкологияЭкономикаЭлектроника






Техническое задание





 

В полой трубе прямоугольного сечения (Рис. 1) с идеально проводящими стенками создано монохроматическое электромагнитное поле. Труба заполнена однородной изотропной средой без потерь, абсолютная диэлектрическая и магнитная проницаемости равны и соответственно. Известно, что комплексная амплитуда вектора равна:

, где , , , , - частота электромагнитных колебаний; - длина волны, свободно распространяющейся в однородной изотропной непроводящей среде с параметрами и ; - скорость света в этой среде, ,

 

Исходные данные:

 

№ вар В/м a см b см ГГц ГГц
    2,25       0,75    

 

 

 


Рис. 1

 

1)Определение комплексных амплитуд поперечных составляющих вектора , а затем из уравнений Максвелла определим комплексные амплитуды составляющих вектора , используя соотношение

,

Найдем комплексные амплитуды составляющих вектора , воспользовавшись вышеприведённым соотношением:

 

 

Подставляя значение из (2) в (1) найдём комплексную форму вектора :

 

 

Запишем проекции комплексной амплитуды вектора на оси координат:

 

 

 

Воспользуемся первым уравнением Максвелла в комплексной форме для определения комплексной амплитуды вектора :

, где - абсолютная диэлектрическая проницаемость среды, , – частота электромагнитных колебаний, тогда отсюда

Найдем :

Тогда составляющие комплексной амплитуды вектора равны соответственно:

(7)

 

(8)

 

(9)

 

Найдем выражения для частных производных составляющих комплексной амплитуды вектора по соответствующим координатам:

 

 

 

 

 

Подставляя найденные значения частных производных в (7), (8) и (9), получим итоговые выражения для комплексных амплитуд составляющих вектора :

 

(10)

(11)

(12)

 

2)Определение диапазона частот, в котором – действительное число, т.е. рассматриваемое поле – бегущая волна.

 

По условию задачи . Значит, будет действительным в случае, если

, т.е. при

Этому диапазону длин волн соответствует диапазон частот:

, где ГГц, где С = ,

Таким образом, если частота волны не принадлежит рассчитанному диапазону частот, то является мнимой величиной. Для этого случая произведем замену: , при этом ,

 

3) Определение мгновенных значений всех составляющих векторов и для двух случаев:

а) когда принадлежит найденному в п. 2 диапазону частот

б) когда не принадлежит этому диапазону.

 

Для получения выражений для мгновенных значений составляющих векторов поля необходимо домножить их комплексные амплитуды на выражение и, выделить действительную часть, то есть:

;

 

В первом случае выражения для комплексных амплитуд составляющих остаются без изменений. Во втором случае необходимо произвести замену, описанную в п. 2.

При выражения для комплексны амплитуд составляющих магнитного и электрического полей имеют вид:

 

 

 

 

(18)

 

При выражения для комплексны амплитуд составляющих магнитного и электрического полей имеют вид:

 

 

 

 

 

(24)

 

 

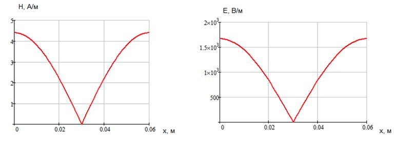
4)Построение графиков зависимостей амплитуд составляющих векторов поля на частотах и по данным приведенным, в таблице технического задания

 

Вычислим постоянные множители в математическом пакете MathCAD 14, а затем подставим соответствующие значения постоянных величин в выражения с (13) по (24):

 

 

 
 


 

 

Определение амплитуд составляющих электрического и магнитного полей для Случая 1:

 

z=z0; y=0,5b; ;

 

 

 

 

 

 

Указанные формулы были запрограммированы в математическом пакете MathCAD 14, где были построены графики данных зависимостей. Результаты показаны на Рис. 2, Рис. 3.

 

Определение амплитуд составляющих электрического и магнитного полей для Случая 2:

 

z=z0; y=0,5b; ;

 

 

 

 

 

 

 

Указанные формулы были запрограммированы в математическом пакете MathCAD 14, где были построены графики данных зависимостей. Результаты показаны на Рис. 4, Рис. 5.


 

Определение амплитуд составляющих электрического и магнитного полей для Случая 3:

 

z=z0; x=0,75a; ;

 

 

Указанные формулы были запрограммированы в математическом пакете MathCAD 14, где были построены графики данных зависимостей. Результаты показаны на Рис. 6, Рис. 7.

Определение амплитуд составляющих электрического и магнитного полей для Случая 4:

 

z=z0; x=0,75a; ;

 

 

 

 

 

 

 

Указанные формулы были запрограммированы в математическом пакете MathCAD 14, где были построены графики данных зависимостей. Результаты показаны на Рис.8, Рис. 9.

 

Определение амплитуд составляющих электрического и магнитного полей для Случая 5:

 

x=0,25a; y=0,25b; ;

 

 

 

 

 

 

Указанные формулы были запрограммированы в математическом пакете MathCAD 14, где были построены графики данных зависимостей. Результаты показаны на Рис. 10, Рис. 11.

 

Определение амплитуд составляющих электрического и магнитного полей для Случая 6:

 

 

x=0,25a; y=0,25b; ;

 

 

 

 

 

 

 

Указанные формулы были запрограммированы в математическом пакете MathCAD 14, где были построены графики данных зависимостей. Результаты показаны на Рис. 12, Рис. 13.

 

В выражениях для случаев 1, 3, 5 м, рад/с, z0=0.151 м, а для случаев. 2, 4, 6 м, рад/с, z0=0.178 м и Нп/м.

 

---

                       
   
 
   
     
 
 
   
   
 

 

 


Рис. 2 Рис. 3

 

 


Рис. 4 Рис. 5

 

 


Рис. 6 Рис. 7

 


Рис. 8 Рис. 9

 

 


Рис. 10 Рис. 11

 

 


Рис. 12 Рис. 13

5)Проверка выполнения граничных условий для касательных составляющих вектора и нормальных составляющих вектора на боковой (х=а) стенке трубы.

 

Как известно на границе раздела двух сред – идеального металла и воздуха и . Проверка граничных условий заключается в проверке истинности этих утверждений, т.е. равенства нулю касательной вектора и нормальной вектора проекций (составляющих).

 

На боковой стенке (х=а) рассмотрению подлежат (17) и (13) составляющие:

Подставим в эти выражения х=а, получим:

,

 

При этом другие множители от координаты х не зависят. Следовательно, оба выражения обращаются в ноль и граничные условия выполняются.







Date: 2015-07-24; view: 4653; Нарушение авторских прав



mydocx.ru - 2015-2026 year. (1.266 sec.) Все материалы представленные на сайте исключительно с целью ознакомления читателями и не преследуют коммерческих целей или нарушение авторских прав - Пожаловаться на публикацию