Главная Случайная страница


Полезное:

Как сделать разговор полезным и приятным Как сделать объемную звезду своими руками Как сделать то, что делать не хочется? Как сделать погремушку Как сделать так чтобы женщины сами знакомились с вами Как сделать идею коммерческой Как сделать хорошую растяжку ног? Как сделать наш разум здоровым? Как сделать, чтобы люди обманывали меньше Вопрос 4. Как сделать так, чтобы вас уважали и ценили? Как сделать лучше себе и другим людям Как сделать свидание интересным?


Категории:

АрхитектураАстрономияБиологияГеографияГеологияИнформатикаИскусствоИсторияКулинарияКультураМаркетингМатематикаМедицинаМенеджментОхрана трудаПравоПроизводствоПсихологияРелигияСоциологияСпортТехникаФизикаФилософияХимияЭкологияЭкономикаЭлектроника






Магнитное поле соленоида





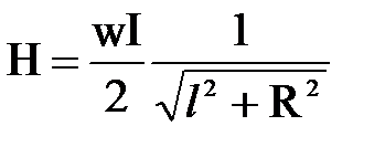
С учетом обозначений на рис. 8, на основе уравнения (11) выражение для поля Н (оно направлено вдоль оси соленоида) запишем в виде:

 

. (17)

 

Рис. 8. Поле на оси соленоида
соотношение (17) применяется для расчета при проведении магнитной дефектоскопии, так как соленоиды широко используются для намагничивания деталей. Часто пользуются упрощенным вариантом выражения (17), считая соленоид бесконечно длинным, т. е., принимая >> R, имеем:

 

. (18)

Поле соленоида пропорционально току I и отношению числа витков к длине соленоида , которое называют постоянной соленоида.

В центре соленоида

 

, (19) у края соленоида

 

. (20)

Если при этом l >> R, то , т. е. на краю длинного соленоида поле в два раза меньше, чем в середине. При R >> l выражение (17) переходит в уравнение (15) с соответствующим числом витков.

Как видно из рис. 8, поле будет однородным лишь внутри и вблизи центра соленоида. Приближаясь к его краям, силовые линии начинают расходиться, и напряженность поля падает. Снаружи, например, у правого конца, силовые линии «загибаются назад», рассеиваются и на входе слева сгущаются.

 







Date: 2015-07-24; view: 827; Нарушение авторских прав



mydocx.ru - 2015-2026 year. (0.652 sec.) Все материалы представленные на сайте исключительно с целью ознакомления читателями и не преследуют коммерческих целей или нарушение авторских прав - Пожаловаться на публикацию