Главная Случайная страница


Полезное:

Как сделать разговор полезным и приятным Как сделать объемную звезду своими руками Как сделать то, что делать не хочется? Как сделать погремушку Как сделать так чтобы женщины сами знакомились с вами Как сделать идею коммерческой Как сделать хорошую растяжку ног? Как сделать наш разум здоровым? Как сделать, чтобы люди обманывали меньше Вопрос 4. Как сделать так, чтобы вас уважали и ценили? Как сделать лучше себе и другим людям Как сделать свидание интересным?


Категории:

АрхитектураАстрономияБиологияГеографияГеологияИнформатикаИскусствоИсторияКулинарияКультураМаркетингМатематикаМедицинаМенеджментОхрана трудаПравоПроизводствоПсихологияРелигияСоциологияСпортТехникаФизикаФилософияХимияЭкологияЭкономикаЭлектроника






Достаточное условие Эрроу





 

Так как экстремальные решения являются лишь подозрительными на максимум, то необходимо проверить достаточные условия.

Для того, чтобы гарантировать некоторые достаточные условия, воспользуемся теоремой Эрроу:

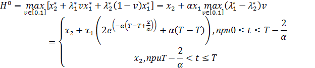
Рассмотрим задачу на максимум (2.1)-(2.5) с и , - должно быть нормально оптимальным управлением, х* - соответствующая траектория и множители. Рассмотрим развернутую функцию Гамильтониана Н0:

(2.31)

и предположим, что каждому функции

 

(2.32)

 

вогнута. Кроме того, мы предполагаем, что функция U вдоль кривой равен u*, то есть

 

(2.33)

- оптимальное управление

 

Принимая во внимание, что построим функции следующим образом

 

    (2.34)
u=     (2.35)

 

Заметим, что для каждого фиксированных функции является вогнутой, и что функции совпадает с : достаточное условие Эрроу выполняется.


 







Date: 2015-07-24; view: 351; Нарушение авторских прав



mydocx.ru - 2015-2026 year. (1.289 sec.) Все материалы представленные на сайте исключительно с целью ознакомления читателями и не преследуют коммерческих целей или нарушение авторских прав - Пожаловаться на публикацию