Главная Случайная страница


Полезное:

Как сделать разговор полезным и приятным Как сделать объемную звезду своими руками Как сделать то, что делать не хочется? Как сделать погремушку Как сделать так чтобы женщины сами знакомились с вами Как сделать идею коммерческой Как сделать хорошую растяжку ног? Как сделать наш разум здоровым? Как сделать, чтобы люди обманывали меньше Вопрос 4. Как сделать так, чтобы вас уважали и ценили? Как сделать лучше себе и другим людям Как сделать свидание интересным?


Категории:

АрхитектураАстрономияБиологияГеографияГеологияИнформатикаИскусствоИсторияКулинарияКультураМаркетингМатематикаМедицинаМенеджментОхрана трудаПравоПроизводствоПсихологияРелигияСоциологияСпортТехникаФизикаФилософияХимияЭкологияЭкономикаЭлектроника






Краевая задача принципа максимума





 

(2.11)  
(2.12)  

 

Так как задача (2.1)-(2.5) со свободным правым концом, условия трансверсальности необходимы

 

(2.13)
(2.14)

 

Найдем максимальное положение управления в гамильтониане Н из (2.6) во всей области значений переменных x1, x2 , . Рассмотрим зависимость Н по , зависимость линейна, следовательно, максимум достигается на концах отрезка.

Проинтегрируем (2.12), и, используя условие трансверсальности (2.13) найдем константу, тогда . Кроме того (2.13) и (2.14) в уравнение (2.11) дают . Заметим, что . Из непрерывности множителей следует, что существует такое, что

 

(2.15)

 

   
  (2.16)

 

Для устранения неоднозначности оптимального управления аналитического решения необходимо рассмотреть все случаи решения .

Найдем и

 

 

Проинтегрируем по t и получим следующее:

 

(2.17)

 

Вычисление показывает, что предположение (2.15) справедливо для . Поэтому давайте предположим, что существует точка такая, что

 

(2.18)

 

 

В силу (2.16) на интервале мы получаем, что . Теперь (2.11) дает, с учетом непрерывности в точке :

 

(2.19)

 

Легко проверить, что поскольку и , из выпуклости функции и следует, что предположение (2.18) выполняется с τ’= 0.

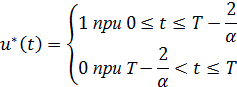
В результате управление удалось построить как функцию времени:

 

    (2.20)

 

Полученную функцию подставим в дифференциальные уравнения (2.11),(2.12) и проинтегрируем их с заданными начальными условиями по участкам непрерывности функции , соблюдая непрерывность фазовых координат на границе соседних участков.

Сначала решим первое дифференциальное уравнение, поскольку оно не содержит , разделим переменные, проинтегрируем и выделим :

 

(2.21)
(2.22)

 

Подставив исходное уравнение и используя начальные условия, получим, что

 

(2.23)
(2.24)

 

Решая второе дифференциальное уравнение, проинтегрируем и выделим , подставив вместо полученное значение:

 

(2.25)
(2.26)

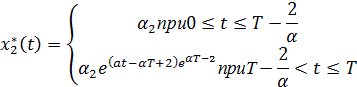
Используя динамику и начальное условие на траектории, получим решения подозрительные на оптимальность:

 

(2.27)
(2.28)  
(2.29)  
(2.30)  

 

 







Date: 2015-07-24; view: 701; Нарушение авторских прав



mydocx.ru - 2015-2026 year. (0.761 sec.) Все материалы представленные на сайте исключительно с целью ознакомления читателями и не преследуют коммерческих целей или нарушение авторских прав - Пожаловаться на публикацию