Главная Случайная страница


Полезное:

Как сделать разговор полезным и приятным Как сделать объемную звезду своими руками Как сделать то, что делать не хочется? Как сделать погремушку Как сделать так чтобы женщины сами знакомились с вами Как сделать идею коммерческой Как сделать хорошую растяжку ног? Как сделать наш разум здоровым? Как сделать, чтобы люди обманывали меньше Вопрос 4. Как сделать так, чтобы вас уважали и ценили? Как сделать лучше себе и другим людям Как сделать свидание интересным?


Категории:

АрхитектураАстрономияБиологияГеографияГеологияИнформатикаИскусствоИсторияКулинарияКультураМаркетингМатематикаМедицинаМенеджментОхрана трудаПравоПроизводствоПсихологияРелигияСоциологияСпортТехникаФизикаФилософияХимияЭкологияЭкономикаЭлектроника






II. Подкрановая часть





Нн = 7,6 м

h = 800 мм

b = 500 мм

Защитный слой бетона as = as = 5 см

Расчетная длина l0 = 1∙Hн = 1∙7,6 = 7.6 м

Момент инерции I см4

Площадь А = h∙b = 80∙50 = 4000 см2

Радиус инерции сечения i = см

Гибкость λ = следовательно необходимо учитывать влияние прогибов (влияние продольного изгиба)

h0 = h – as = 80-5 = 75 см

е0 =

 

Вычисляем случайный эксцентриситет

еа = еа = еа = 1 ;

Выбираем наибольшее значение, в данном случае е =7 см

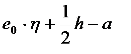
Тогда расчетный эксцентриситет е = (м)

Коэффициент, учитывающий гибкость колоны:

 

Условная критическая сила Ncr =

 

Ncr =

 

 

е =

 

А’s=

 

Alim=

 

А’s=

 

= 0,17

X=0.17*0.75=0.127м

 

 

As=

 

По сортаменту выбираем 5 ǿ 25 As=24,64 см2

 

 

5.3. Расчет средней колоны

В настоящем курсовом проекте для средней колоны применяется симметричное армирование.

Расчет надкрановой и подкрановой частей колоны производится как внецентренно сжатых элементов на каждое из невыгодных сочетаний усилий с учетом:

1) случайного эксцентриситета (la)

2) гибкости элемента (λ=l0/i) – влияние продольного изгиба

 

 







Date: 2015-07-24; view: 392; Нарушение авторских прав



mydocx.ru - 2015-2026 year. (0.494 sec.) Все материалы представленные на сайте исключительно с целью ознакомления читателями и не преследуют коммерческих целей или нарушение авторских прав - Пожаловаться на публикацию