Главная Случайная страница


Полезное:

Как сделать разговор полезным и приятным Как сделать объемную звезду своими руками Как сделать то, что делать не хочется? Как сделать погремушку Как сделать так чтобы женщины сами знакомились с вами Как сделать идею коммерческой Как сделать хорошую растяжку ног? Как сделать наш разум здоровым? Как сделать, чтобы люди обманывали меньше Вопрос 4. Как сделать так, чтобы вас уважали и ценили? Как сделать лучше себе и другим людям Как сделать свидание интересным?


Категории:

АрхитектураАстрономияБиологияГеографияГеологияИнформатикаИскусствоИсторияКулинарияКультураМаркетингМатематикаМедицинаМенеджментОхрана трудаПравоПроизводствоПсихологияРелигияСоциологияСпортТехникаФизикаФилософияХимияЭкологияЭкономикаЭлектроника






Нагрузки и воздействия





Основные положения

Основными несущими конструкциями одноэтажного производственного здания является, балочно-стоечные поперечные рамы, которые связаны между собой фундаментными подвязочными и подкрановыми балками.

Основные несущие элементы поперечной рамы:

фундаменты; поперечные рамы; колоны; несущая конструкция покрытия (ферма, балка), плиты покрытия; рамы связаны между собой диском покрытия, ребра плит привариваются к несущему элементу покрытия, минимум в 3 х местах, швы между плитами замоноличиваются. Узел операния фермы, либо балки, выполняется на болтах; При идеализации конструкции принимают операние колоны в фундамент, операние ригеля покрытия на колону – шарнирным.

 

Геометрические размеры строительных конструкций

 

Высота надкрановой части колон:

Hн =4,2 м

В ысота подкрановой части колонны:

Hп=7,6 м

Полная высота колоны:

Hк= 11,8

 

Выбор колонн осуществляется в зависимости от их шага, ширины пролета, грузоподъемности крана, высоты производственного здания. В соответствии с этим колонны могут быть прямоугольного сечения или двухветвевые, железобетонные или стальные, постоянного сечения по высоте или переменного.При наличии подстропильных конструкций колонны средних рядов подбирают с учетом высоты на опоре подстропильных балок и ферм.


Нагрузки и воздействия

4.1 Общие данные

 

Основы расчетов по двум принципам предельных состояний и классификации нагрузок на самостоятельные работы.

Нормативным документом, который регламентирует определение значений нагрузок и воздействий, а также их сочетаний при проектировании строительных конструкций, зданий и сооружений является ДБН В.1.2-2:2006 «Нагрузки и воздействия»

В соответствии с действующими нормативными документами расчет строительных конструкций ведется с учетом расчетных ситуаций и предельных состояний. Строительные конструкции и основания следует рассчитывать по двум группам предельных состояний. Основные положения метода предельных состояний направлены на обеспечение безотказной работы конструкции с учетом свойств материалов, геометрических размеров, а также степени ответственности конструкции.

 

Предельные состояния:

ü Первая группа предельных состояний включает в себя предельные состояния, которые приводят к полной невозможности эксплуатации конструкции или полной

(частичной) потери несущей способности.

ü Вторая группа предельных состояний включает в себя предельные состояния, которые затрудняют нормальную эксплуатации конструкции или сокращают срок долговечности здания.

К постоянным нагрузкам относят:

1. собственный вес;

2. вес грунта насыпи;

3. предварительное напряжение

К временным нагрузкам относят:

1. вес временных перегородок;

2. вес стационарного оборудования;

3. вес складируемых материалов на складах;

4. вес людей, животных, оборудования, передаваемые на перекрытия жилых, общественных и сельскохозяйственных зданий с квазипостоянным значением;

5. вертикальные нагрузки от кранов с квазипостоянным значением;

6. снеговые нагрузки с квазипостоянным значением.

К временным и кратковременным нагрузкам относят:

1. вес людей, животных и оборудования передаваемые на перекрытия здания с предельным либо эксплуатационным значение;

2. нагрузка от кранов с предельными либо эксплуатационными значениями;

3. снеговые нагрузки с предельным либо эксплуатационным значением;

4. ветровые нагрузки.

К эпизодическим относятся:

1. землетрясения;

2. взрывы;

3. подвижки грунта.

4.2. Постоянные нагрузки

Эксплутационно–расчетное значение нагрузки от веса конструкций, принимают равным его характерным значению. Предельно расчетное значение нагрузки получается путем умножения характерного значения на коэффициент надежности по нагрузки γfm , которое равняется для конструкции:

- металлических=1,1

- бетонных плотностью выше 1600 кг/м3 ,

- ж/б, армированных и деревянных =1,1

- бетонных менее 1600 кг/м3 из авиационных и выравнивающих слоев, изготовленных в заводе =1,2, изготовленных на строительной площадке = 1,3.

 

 

Нагрузка на 1 м2 покрытия Табл. 4.1

№ п/п Вид нагрузки Характеристика знач. нагрузок Кн. γf Предельное значение нагрузки
  Гравийная засыпка (0,005*1*1*28)   1,3  
  Рубероид (0.015*1*1*6000)   1,2  
  Битумная мастика (0.1*1*1*1400)   1,3  
  Утеплитель(0.15*1*1*8000)   1,3  
  Стяжка(0.05*1*1*25000)   1,3  
6 Пароизоляция (0.002*1*1*18000) 36 1,2 43,2
7 Плита покрытия (0.3*1*1) 1800 1.1 1980
8 Итого 4656   5678,2

m/s=6,8/36=0,18


qi=g*B=5678,2*12=68138,4 H;

g= 5678,2;

Расчетная схема


Собственный вес

Собственный вес от регилей:

0,85= 8500 Н

0,42 = 4200 Н

Собственный вес подкрановой балки и подкрановой рельсы:

P=Pb+120 B=10700+120 12=12140, где Pb – масса подкрановой балки;

Собственный вес от ограждения:

М=N 0,35

N= h0/b= 4,2/1,8=2,3 (3 панели)

M=3*0,35*3500=3675 н

Снеговая нагрузка

Sm=

C=

Крановая нагрузка

Для пролета 18 м Для пролета 30 м

К =4. 4м К =4. 4м

В = 6.3 м В = 6.3 м

Рмах = 195 кН Рмах = 225 кН

G = 85 кН G = 85 кН

 

T= Pmax ∑yi

Для пролета 30 м

, отсюда

 

У2=

 

, отсюда

 

У4=

 

У3=

 

Т=1,1 225 3,005=743,73 (30 м)

 

Т=1,1 195 3,005=644,572 (18 м)

 

Горизонтально-крановая

D= (0,726 т.)

Ветровая нагрузка

 

 

Γfm=1,035

W0=480 pa

C=Caer*Ch*Calt*Crel*Cdir*Cd

Cd=1

Cdir=1

Calt=1

Crel=1

 

W1=Wm1*B

 

Caer для наветренной стороны -0,8; для подветренной -0,6;

Наветренная сторона

Z=5

Ch=0,9

Wm1=496,8 0,72=357,696

C= 0,8 0,9 1 1 1 1=0,72

W1=357,696 12=4292,357

 

Z=7,6

Ch=1,056

Wm2=496,8 0,8448=419,69

C= 0,8 1.056 1 1 1 1=0,8448

W2=5036,3

 

Z=11,8

Ch=1,263

Wm3=496,8 1,0104=501,966

C= 0,8 1.263 1 1 1 1=1,0104

W3=6023,6

Подветренная сторона

Z=5

Ch=0,9

Wm1=496,8 0,54=268,272

C= 0,54

W1=3219,264

 

Z=7,6

Ch=1,056

Wm2=496,8 0,63=312,984

C= 0,63

W2=3755,808

 

Z=11,8

Ch=1,263

Wm3=376,47

C= 0,7578

W3=4517,7

 

Эпюра N

Эпюра Q

Эпюра М

 

Таблица РСУ

 

 

 

 

5. Внецентренно – сжатые элементы

 

5.1. Общие сведения

 

При расчете внецентренно- сжатых элементов, должно приниматься во внимание значение случайного эксцентриситета (е0).

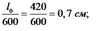
1/600- длины элемента

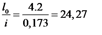
1/30 – высоты сечения элемента, не менее этих значений.

е- эксцентриситет – расстояние от центра тяжести до линии действия нагрузки

Для элементов статически неопределимых конструкции значение е продольной силы может быть принята по результатам статического расчета е0 = М/N. При расчете внецентренно- сжатых элементов следует учитывать влияние прогибов на их несущую способность, как правило путем расчетов по деформационной схеме. При этом принимаем во внимание не упр деформации бетона и трещины в нем. Допускается производить расчет по не деформационной схеме, учитывая влияние прогибов путем умножения

5.2. Расчет крайней колоны

В курсовом проекте для крайней колонны применяем несимметричное армирование.

Исходные данные:

Класс бетона С25/30; fcd= 17 мПа; Еcd = 3∙ т/ =29419,95 мПа

Продольная арматура класса А400C; fyd = fydc = 363,63 мПа;

 

 

Расчет надкрановой и подкрановой части колонны производится как внецентренно сжатых элементов на каждое из невыгодных сочетаний усилий с учетом:


1. Случайного эксцентриситета еа

2. Гибкость элемента

I. Надкрановая часть

Н2 = Нb = 4,2 м

h = 600 мм

b = 500 мм

Защитный слой бетона as = as = 50 мм

Расчетная длина l0 = 1∙Hb = 1∙4,2= 4,2 м

Момент инерции I см4

Площадь А = h*b = 60∙50=3000 см2

Радиус инерции сечения i = см

Гибкость λ = >14 следовательно необходимо учитывать влияние прогибов (влияние продольного изгиба)

h0 = h – as = 60-5= 55 см

 

Вычисляем расчетную величину эксцентриситета

е0 =

Вычисляем случайный эксцентриситет

еа = еа = еа = 1 ;

Выбираем наибольшее значение из 3-х величин, в данном случае еа =7,6 см

 

Тогда расчетный эксцентриситет е = м

Коэффициент, учитывающий гибкость колоны:

Условная критическая сила Ncr =

 

Ncr =

 

е =

 

А’s=

 

Alim=

 

А’s=

 

=0,63

X=0,63*0.55=0.34

 

As=

 

По сортаменту выбираем 8 ǿ 32 As=64,34 см2

 







Date: 2015-07-24; view: 443; Нарушение авторских прав



mydocx.ru - 2015-2026 year. (0.519 sec.) Все материалы представленные на сайте исключительно с целью ознакомления читателями и не преследуют коммерческих целей или нарушение авторских прав - Пожаловаться на публикацию